М
Молодежь
К
Компьютеры-и-электроника
Д
Дом-и-сад
С
Стиль-и-уход-за-собой
П
Праздники-и-традиции
Т
Транспорт
П
Путешествия
С
Семейная-жизнь
Ф
Философия-и-религия
Б
Без категории
М
Мир-работы
Х
Хобби-и-рукоделие
И
Искусство-и-развлечения
В
Взаимоотношения
З
Здоровье
К
Кулинария-и-гостеприимство
Ф
Финансы-и-бизнес
П
Питомцы-и-животные
О
Образование
О
Образование-и-коммуникации
pueser
pueser
03.12.2022 05:36 •  Математика

Вдесятичной дроби запятую перенесли вправо на 2 знака, полученая дробь на 252,945 больше данной.нати дробь

👇
Ответ:
alenafgfgf
alenafgfgf
03.12.2022

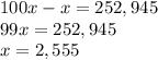
Изначальная дробь x.

Перенос запятой на 2 знака вправо - это умножение на 100. Значит, вторая дробь 100x. Из условий:

100x-x=252,945\\ 99x = 252,945\\ x=2,555

4,4(55 оценок)
Открыть все ответы
Ответ:
frnkiero1133324
frnkiero1133324
03.12.2022

К сожалению, даже в мире современных технологий тяжело предугадать появления землетрясения. Зачастую оно длится не более одной минуты, при этом интенсивность в основном первые 15 секунд ощущается слабо. Во второй половине минуты фаза землетрясения достигает своего пика. Его сила измеряется по 12-бальной шкале Рихтера. Очень важно знать правила безопасности до, во время и после происшествия, независимо от того, где вы находитесь.

Поведение перед землетрясением

В доме необходимо плотно прикрепить шкафы, столы и прочую стоячую высокую мебель к стенам и полу. Разместить ее так, чтобы при падении она не загораживала проход к выходу. Громоздкие и тяжелые предметы поставить максимально на низкую поверхность. Посуду спрятать в отдельный шкаф или полку и хорошо закрыть. Крепко закрепить светильники и люстры.

Важно заранее знать безопасные места квартиры, где можно спрятаться:  

под прочной мебелью;

в проемах и возле внутренних капитальных стен;

под балками каркаса;

у опорных колонн.

Время землетрясения

Главное - не паниковать. Конечно, если потребуется, то действовать по обстоятельствам. Если все по пошло так, как вы планировали, и землетрясение застало вас находящимся в квартире, то необходимо как можно быстрее покинуть здание. После чего выйти на свободное пространство, где нет других высотных домов.

Если же событие происходит на улице, то важно держаться подальше от любых зданий и линий электропередач. Если же вы оказались рядом с высоткой - лучше встать в дверной проем, дабы обезопасить себя от падающих обломков.  

Находясь в транспорте, желательно остановить средство подальше от всего того, что может рухнуть на вас из-за сильных толчков. Водители общественного транспорта обязаны остановиться и открыть двери.

После происшествия

Сохраняйте спокойствие. Оглянитесь, есть ли рядом пострадавшие. При необходимости окажите медицинскую Передвигайтесь с прочной обувью, чтобы не пораниться осколками. Когда спускаетесь - проверяйте надежность конструкции. Заметили повреждение электропровода - отключите электричество, тем самым предотвратив вероятность возникновения пожара.

4,7(11 оценок)
Ответ:
apolo230kmn
apolo230kmn
03.12.2022

Заранее продумайте план действий во время землетрясения при нахождении дома, на работе, в кино, театре, на транспорте и на улице. Разъясните членам своей семьи, что они должны делать во время землетрясения и обучите их правилам оказания первой медицинской

Держите в удобном месте документы, деньги, карманный фонарик и запасные батарейки.

Имейте дома запас питьевой воды и консервов в расчете на несколько дней.

Уберите кровати от окон и наружных стен. Закрепите шкафы, полки и стеллажи в квартирах, а с верхних полок и антресолей снимите тяжелые предметы.

4,8(71 оценок)
Новые ответы от MOGZ: Математика
logo
Вход Регистрация
Что ты хочешь узнать?
Спроси Mozg
Открыть лучший ответ