М
Молодежь
К
Компьютеры-и-электроника
Д
Дом-и-сад
С
Стиль-и-уход-за-собой
П
Праздники-и-традиции
Т
Транспорт
П
Путешествия
С
Семейная-жизнь
Ф
Философия-и-религия
Б
Без категории
М
Мир-работы
Х
Хобби-и-рукоделие
И
Искусство-и-развлечения
В
Взаимоотношения
З
Здоровье
К
Кулинария-и-гостеприимство
Ф
Финансы-и-бизнес
П
Питомцы-и-животные
О
Образование
О
Образование-и-коммуникации
Настя097343
Настя097343
02.11.2020 16:03 •  Математика

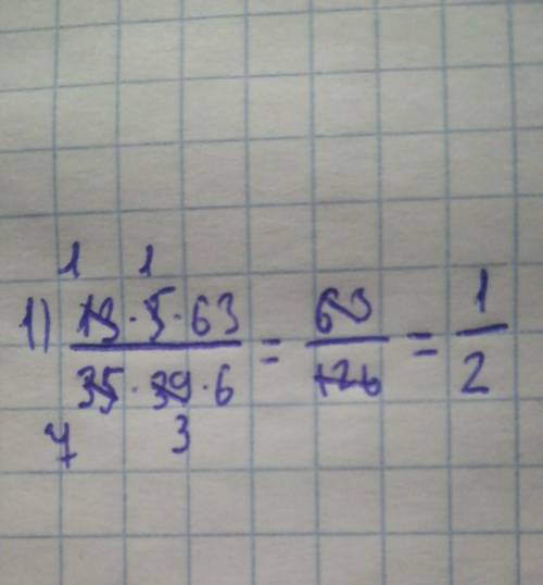
Кака решить этот пример 13*5*63/35*39*6=

👇
Ответ:
Артём24532523
Артём24532523
02.11.2020

Пошаговое объяснение:


Кака решить этот пример 13*5*63/35*39*6=
4,8(61 оценок)
Ответ:
23Аришка2765
23Аришка2765
02.11.2020

13*5*63/35*39*6=27378

1)13*5=65

2)65*63=4095

3)4095/35=117

4)117*39=4563

5)4563*6=27378

4,7(25 оценок)
Открыть все ответы
Ответ:
polinakoshara03
polinakoshara03
02.11.2020

4

Пошаговое объяснение:

Согласно условию участок был взят за единицу.

1/(1/4)=1·4/1=4 части участка составляют 1/4 часть участка, которую 3 больших трактора вспахивают за 5 часов.

5·4=20 часов потребуется 3 большим тракторам вспахать весь участок.

Задача на обратную пропорциональность:

x - 10

20 -3

x - время, необходимое 10 большим тракторам вспахать весь участок, ч.

x/20=3/10                       |×10

x=3·2

x=6 ч потребуется вспахать весь участок 10 большим тракторам.

1/(1/12)=1·12/1=12 частей участка составляют 1/12 часть участка, которую 5 маленьких тракторов вспахивают за 2 часа.

2·12=24 часа потребуется 5 маленьким тракторам вспахать весь участок.

Задача на обратную пропорциональность:

y - 10

24 - 5

y - время, необходимое 10 маленьким тракторам вспахать весь участок, ч.

y/24=5/10

y/24=1/2                                   |×2

y=12 ч потребуется вспахать весь участок 10 маленьким тракторам.

1/6 +1/12=2/12 +1/12=3/12=1/4 - производительность 10 больших и 10 маленьких тракторов.

1/(1/4)=1·4/1=4 ч потребуется вспахать весь участок 10 большим и 10 маленьким тракторам.

4,8(87 оценок)
Ответ:
ananasik79
ananasik79
02.11.2020

Если в неравенстве какое-нибудь слагаемое перенести из одной части в другую, изменив его знак, мы получим:

преобразование равносильное данному.

Если обе части неравенства умножить или разделить на одно и то же положительное число... преобразование. равносильное

Если обе части неравенства умножить или разделить на одно и то же отрицательное число и при этом сменить знак неравенства на противоположный, мы получим

равносильное неравенство.

Пошаговое объяснение:

если к обеим частям неравенства прибавить одно и то же выражение, не приводящее к изменению ОДЗ исходного неравенства, то получится равносильное неравенство.

Например, замена неравенства x<7 неравенством x+(12·x−1)<7+(12·x−1) является равносильным преобразованием.

Из уже изученных равносильных преобразований неравенств следует еще одно, которое используется чаще двух предыдущих: перенос любого слагаемого из одной части неравенства в другую с противоположным знаком является равносильным преобразованием.

К примеру, оно позволяет от неравенства 3·x−5·y>12 перейти к равносильному неравенству 3·x>12+5·y.

Умножение (или деление) обеих частей неравенства на одно и то же положительное число есть равносильное преобразование неравенства. И если обе части неравенства умножить (или разделить) на одно и то же отрицательное число, изменив при этом знак неравенства на противоположный (< на >, > на <, ≤ на ≥, а ≥ на ≤), то получится равносильное неравенство. Вторая часть по той же схеме, но с учётом умножения и Деления на отрицательное число

4,4(32 оценок)
Новые ответы от MOGZ: Математика
logo
Вход Регистрация
Что ты хочешь узнать?
Спроси Mozg
Открыть лучший ответ