
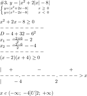
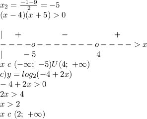
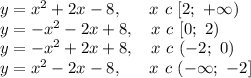
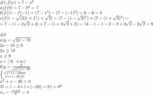
Дано: y(x) = √(-x²+12*x-6)
Найти: Значения Х при минимальных значениях y(x).
1. Функция y(x) = √f(x) - существует при f(x) ≥ 0.
2. Находим точки f(x)=0 - под знаком радикала.
Решение.
1) f(x) = - x² + 12*x - 6 - функция под знаком корня.
2) Решаем квадратное уравнение f(x) = 0, находим дискриминант и корни уравнения.
D = 12² - 4*(-1)*(-6) = 144-24 = 120 - дискриминант.
√D = √120 = √(2²*30) = 2√30.
x₁ = 6 - √30, x₂ = 6 + √30 - корни квадратного уравнения. Получили область определения функции y(x):
X∈[x₁;x₂] - ООФ y(x). Минимальные значения функция на границах отрезка.
Ymin(x)=0 при x₁ = 6 - √30, x₂ = 6 + √30 - ответ.
Дополнительно - графики функций - в приложении.
Максимальное значение функции y(x) равно:
Ymax(6) = √30 (≈ 5,48).
№1.
Пусть дочери х (лет), тогда отцу 8х (лет). Разница в возрасте 28 лет. Составим уравнение:
1) 8х - х = 28
7х = 28
х = 28 : 7
х = 4 (года - дочери)
2) 4 * 8 = 32 года - отцу - ответ.
№2.
Сыну х (лет), тогда матери 6х (лет). Разница 25 лет
1) 6х - х = 25
5х = 25
х = 25 : 5
х = 5 (лет - сыну)
2) 5 * 6 = 30 лет - матери - ответ.
№1.
х - задуманное число
(х + 28) - увеличили число на 28
3х - число увеличилось в 3 раза
х + 28 = 3х
х - 3х = - 28
- 2х = - 28
х = (- 28) : (- 2)
х = 14 - само число.
№2.
х - задуманное число
(х + 35) - увеличили на 35
6х - увеличилось в 6 раз
х + 35 = 6х
х - 6х = 35
- 5х = - 35
х = (- 35) : (- 5)
х = 7 - задуманное число.
Пошаговое объяснение: