М
Молодежь
К
Компьютеры-и-электроника
Д
Дом-и-сад
С
Стиль-и-уход-за-собой
П
Праздники-и-традиции
Т
Транспорт
П
Путешествия
С
Семейная-жизнь
Ф
Философия-и-религия
Б
Без категории
М
Мир-работы
Х
Хобби-и-рукоделие
И
Искусство-и-развлечения
В
Взаимоотношения
З
Здоровье
К
Кулинария-и-гостеприимство
Ф
Финансы-и-бизнес
П
Питомцы-и-животные
О
Образование
О
Образование-и-коммуникации
danillbiz
danillbiz
22.07.2020 06:31 •  Математика

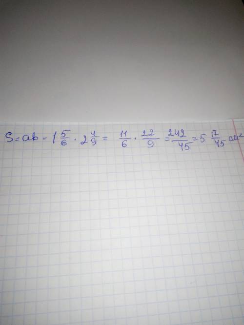
Длина прямоугольника 1 5/6 см, а ширина 2 4/9 см. Чему равна площади прямоугольника? 2/33
І
ответ:см²

👇
Ответ:
Nyrkoff
Nyrkoff
22.07.2020

Пошаговое объяснение:


Длина прямоугольника 1 5/6 см, а ширина 2 4/9 см. Чему равна площади прямоугольника? 2/33Іответ:см²​
4,4(31 оценок)
Открыть все ответы
Ответ:
vovakara3434
vovakara3434
22.07.2020
Пиши !Находим время движения теплоходов:11-8=3 часаНаходим растояние первым теплоходом:34*3=102км Находим растояние которое второй теплоход:210-102=108 км Находим скорость второго теплохода:108:3=36 км/ч ответ: Второй теплоход шёл со скоростью 36 км/ч ЕСЛИ ТЕПЛОХОДЫ ВЫШЛИ В 8 ЧАСОВ , А ВСТРЕТИЛИСЬ В 11 ЧАСОВ, ЗНАЧИТ ОНИ БЫЛИ В ПУТИ 3 ЧАСА.Скорость первого 34 км/ч время 3 часа, значит 34*3=102 км первый теплоходвсе расстояние, которыое два теплохода равно 210 км, значит второй кмвремя 3 часанайдем скорость 108 /3=36 км/ч.
4,8(41 оценок)
Ответ:
Dianochka20013089
Dianochka20013089
22.07.2020
Пиши !Находим время движения теплоходов:11-8=3 часаНаходим растояние первым теплоходом:34*3=102км Находим растояние которое второй теплоход:210-102=108 км Находим скорость второго теплохода:108:3=36 км/ч ответ: Второй теплоход шёл со скоростью 36 км/ч ЕСЛИ ТЕПЛОХОДЫ ВЫШЛИ В 8 ЧАСОВ , А ВСТРЕТИЛИСЬ В 11 ЧАСОВ, ЗНАЧИТ ОНИ БЫЛИ В ПУТИ 3 ЧАСА.Скорость первого 34 км/ч время 3 часа, значит 34*3=102 км первый теплоходвсе расстояние, которыое два теплохода равно 210 км, значит второй кмвремя 3 часанайдем скорость 108 /3=36 км/ч.
4,4(62 оценок)
Это интересно:
Новые ответы от MOGZ: Математика
Полный доступ к MOGZ
Живи умнее Безлимитный доступ к MOGZ Оформи подписку
logo
Вход Регистрация
Что ты хочешь узнать?
Спроси Mozg
Открыть лучший ответ