М
Молодежь
К
Компьютеры-и-электроника
Д
Дом-и-сад
С
Стиль-и-уход-за-собой
П
Праздники-и-традиции
Т
Транспорт
П
Путешествия
С
Семейная-жизнь
Ф
Философия-и-религия
Б
Без категории
М
Мир-работы
Х
Хобби-и-рукоделие
И
Искусство-и-развлечения
В
Взаимоотношения
З
Здоровье
К
Кулинария-и-гостеприимство
Ф
Финансы-и-бизнес
П
Питомцы-и-животные
О
Образование
О
Образование-и-коммуникации
khadarin1977
khadarin1977
05.09.2020 23:22 •  Математика

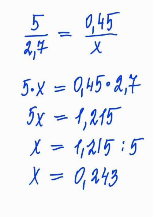
Найдите неизвестный член пропорции 5:2,7=0,45:х​

👇
Ответ:
natashafed2
natashafed2
05.09.2020

0.243

Пошаговое объяснение:

показано на фото в приложении


Найдите неизвестный член пропорции 5:2,7=0,45:х​
4,8(77 оценок)
Открыть все ответы
Ответ:
BNN11
BNN11
05.09.2020

. Найти наибольшее и наименьшее значение функции

  на промежутке [-4; 1]

Точка разрыва  x=9   в заданный интервал не входит.

Первая производная для нахождения точек экстремумов.

Обе точки экстремумов не попадают в интервал  x∈[-4; 1]

Значения функции на концах интервала

ответ: наименьшее значение функции ;

           наибольшее значение функции F(1) = 0,75

-----------------------------------------------------------------------------

2. Записать уравнение касательной к графику

функции   F(x)=x⁴-2x   в точке  x₀=-1

Уравнение касательной имеет вид  y = F(x₀) + F’(x₀)·(x - x₀)

F(-1) = x⁴-2x = (-1)⁴ - 2(-1) = 1+2 = 3

F'(-1) = (x⁴-2x)' = 4x³ - 2 = 4(-1)³ - 2 = -6

y = F(x₀) + F’(x₀)·(x - x₀) = 3 - 6 (x + 1) = 3 - 6x -6 = -6x - 3

ответ:  уравнение касательной   y = -6x - 3

---------------------------------------------------------------------------

3. Исследовать функцию и построить ее график  F(x)=x³-3x²

1) Область определения  D(F) = R

2) Область значений  E(F) = R

3) Нули функции

   F(x)=x³-3x² = 0;      x²(x - 3) = 0;     x₁ = 0;  x₂ = 3

4) Пересечение с осью OY

  x = 0;   F(0) = 0³-3·0² = 0

5) Экстремумы функции

  F'(x) = 0;   (x³-3x²)' = 0;   3x² - 6x = 0;  3x(x - 2) = 0;

  x₁ = 0;  F(0) = 0;   F"(0) = 6x - 6 = -6   ⇒  локальный максимум.

  x₂ = 2;  F(2) = 2³-3·2² = -4;  F"(2) = 6x - 6 = 6  ⇒  локальный минимум.

6) Монотонность функции.

   Интервалы знакопостоянства первой

              производной F'(x) = 3x(x - 2)

   ++++++++ (0) ------------- (2) +++++++++> x

         /                    \                    /

  x ∈ (-∞; 0)∪(2; +∞)  -  функция возрастает

  x ∈ (0;2)  -  функция убывает

7) Функция не периодическая, общего вида (не является чётной, не является нечётной).

8) Дополнительные точки для построения

x₃ = -1;  y₃ = -4;  x₄ = 1;  y₄ = -2

9) График функции в приложении


Знайти найбільше та найменше значення функції на вказаному відрізку [a; b] 1) у = х^3-3х^2+9х, на [
4,6(63 оценок)
Ответ:
terylevina1
terylevina1
05.09.2020

Пусть х кг масса бандероли, тогда масса посылки х+3,5 кг, (т.к. 3 кг 500 г = 3,5 кг). Три посылки имеют массу 3(х+3,5)=3х+10,5 кг, а две бандероли массу 2х кг и общая масса 14,5 кг (т.к. 14 кг 500 г =14,5 кг). Составим уравнение:

3х+10,5+2х=14,5

5х=4

х=0,8 (кг) = 800 (г) масса бандероли.

ответ: 800 грамм.

Решение по действиям (для 1-4 класса):

14 кг 500 г = 14500 г. ;    3 кг 500 г =3500 г. (т.к. в 1 кг 1000 г)

3500*3=10500 (г) На 10500 грамм масса пяти бандеролей, меньше массы трёх посылок и двух бандеролей.

14500-10500=4000 (г) масса пяти бандеролей.

4000÷5=800 (г) масса бандероли.

ответ: 800 грамм.

4,7(75 оценок)
Это интересно:
Новые ответы от MOGZ: Математика
logo
Вход Регистрация
Что ты хочешь узнать?
Спроси Mozg
Открыть лучший ответ