М
Молодежь
К
Компьютеры-и-электроника
Д
Дом-и-сад
С
Стиль-и-уход-за-собой
П
Праздники-и-традиции
Т
Транспорт
П
Путешествия
С
Семейная-жизнь
Ф
Философия-и-религия
Б
Без категории
М
Мир-работы
Х
Хобби-и-рукоделие
И
Искусство-и-развлечения
В
Взаимоотношения
З
Здоровье
К
Кулинария-и-гостеприимство
Ф
Финансы-и-бизнес
П
Питомцы-и-животные
О
Образование
О
Образование-и-коммуникации
vikylyalol
vikylyalol
29.06.2021 13:25 •  Математика

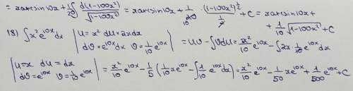
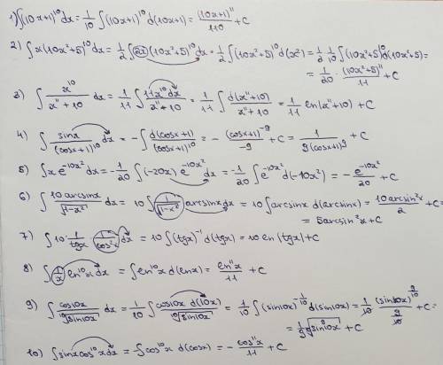
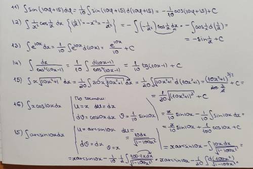
необходимо решить, заменив все значения N=10


необходимо решить, заменив все значения N=10

👇
Ответ:
plkg
plkg
29.06.2021

решение на фотографиях


необходимо решить, заменив все значения N=10
необходимо решить, заменив все значения N=10
необходимо решить, заменив все значения N=10
4,6(97 оценок)
Открыть все ответы
Ответ:
5тата282
5тата282
29.06.2021
1. Действие, обратное сложению, называют вычитанием.
                               Или:
Вычитание - это действие, при которого, зная сумму и одно из слагаемых, находят другое слагаемое.
2. Уменьшаемое - это число из которого вычитают
3. Вычитаемое - это число, которое вычитают
4. Результат вычитания наз. разностью.
         а-в=с
  а - уменьшаемое,  в -  вычитаемое,  с - разность.
5. Чтобы узнать на сколько одно число больше другого, надо из перво-го числа вычесть второе.
6. Чтобы вычесть сумму (а+в) из числа (с), надо из числа (с) вычесть число (а), а затем из полученного результата вычесть число (в).
  с-(а+в)=(с-а)-в=с-а-в
7. Чтобы из суммы (а+в) вычесть число (с), можно из числа (а)  [или (в)]  вычесть число (с), а затем прибавить число (в)  [или (а)].
  (а+в)-с=(а-с)+в
(а+в)-с=(в-с)+а
4,4(92 оценок)
Ответ:
МАШЕНЬКА881
МАШЕНЬКА881
29.06.2021
1. Действие, обратное сложению, называют вычитанием.
                               Или:
Вычитание - это действие, при которого, зная сумму и одно из слагаемых, находят другое слагаемое.
2. Уменьшаемое - это число из которого вычитают
3. Вычитаемое - это число, которое вычитают
4. Результат вычитания наз. разностью.
         а-в=с
  а - уменьшаемое,  в -  вычитаемое,  с - разность.
5. Чтобы узнать на сколько одно число больше другого, надо из перво-го числа вычесть второе.
6. Чтобы вычесть сумму (а+в) из числа (с), надо из числа (с) вычесть число (а), а затем из полученного результата вычесть число (в).
  с-(а+в)=(с-а)-в=с-а-в
7. Чтобы из суммы (а+в) вычесть число (с), можно из числа (а)  [или (в)]  вычесть число (с), а затем прибавить число (в)  [или (а)].
  (а+в)-с=(а-с)+в
(а+в)-с=(в-с)+а
4,7(19 оценок)
Новые ответы от MOGZ: Математика
logo
Вход Регистрация
Что ты хочешь узнать?
Спроси Mozg
Открыть лучший ответ