М
Молодежь
К
Компьютеры-и-электроника
Д
Дом-и-сад
С
Стиль-и-уход-за-собой
П
Праздники-и-традиции
Т
Транспорт
П
Путешествия
С
Семейная-жизнь
Ф
Философия-и-религия
Б
Без категории
М
Мир-работы
Х
Хобби-и-рукоделие
И
Искусство-и-развлечения
В
Взаимоотношения
З
Здоровье
К
Кулинария-и-гостеприимство
Ф
Финансы-и-бизнес
П
Питомцы-и-животные
О
Образование
О
Образование-и-коммуникации
PolzoBatelb
PolzoBatelb
29.01.2020 17:54 •  Математика

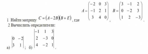
Решить примеры с матрицами


Решить примеры с матрицами

👇
Ответ:

сама учи дура

Пошаговое объяснение:

я незнаю Я не знабююбб

4,8(28 оценок)
Открыть все ответы
Ответ:
evaIA24102003
evaIA24102003
29.01.2020
Термін «комп’ютерна залежність» вперше був використаний в 1990 році. Психологи її класифікують, як форму емоційної «наркоманії». Для залежного підлітка стає важливим не результат гри, а її процес, у якому він втрачає контроль над часом.
Факти свідчать, що більшість 16-18 літніх юнаків, які мають доступ до Інтернету та грають у он-лайн ігри, місяцями, а то й роками не виходять з дому! Один хлопець звернувся до психіатрів з проханням надати йому інвалідність через агорафобію (страх перед відкритим простором). Ніяких відхилень у нього не знайшли, але дізналися, що він просто не міг відірватися від улюбленої гри.

Психологи виділяють такі стадії залежності:
Стадія легкого захоплення. Коли людина один чи кілька разів пограла у рольову комп’ютерну гру, вона входить у смак, їй починає подобатися комп’ютерна графіка, звук, сам факт імітації реального життя чи якихось фантастичних сюжетів.
Стадія захоплення. Фактором, що свідчить про перехід людини на цю стадію формування залежності, є поява в ієрархії потреб нової потреби — грати в комп’ютерні ігри. Гра в комп’ютерні ігри на цьому етапі має систематичний характер. Якщо людина немає постійного доступу до комп’ютера, можливі досить активні дії з усунення цієї перешкоди.
Стадія залежності. Залежність може оформлятися в одній з двох форм: соціалізованій та індивідуалізованій. Соціалізована форма ігрової залежності відрізняється підтримкою соціальних контактів із соціумом (хоча переважно з такими ж ігровими фанатами). Ці гравці люблять грати за до комп’ютерної мережі один з одним. Ця форма залежності менш згубна для психіки, ніж індивідуалізована форма. Людина не відривається від соціуму, не усамітнюється в собі.
Чи може підліток, для якого гра стала самоціллю та сенсом буття, розвиватися, як гармонійна особистість, реалізувати свої здібності? Треба розуміти, що залежність у будь-якій формі – це рух по замкнутому колу, де немає розвитку.

Виділяють досить чіткі симптоми залежності від комп’ютерних ігор:
Психологічні симптоми:
• Відчуття ейфорії чи піднесеності під час роботи за комп’ютером;
• Нездатність зупинити роботу за комп’ютером;
• Дедалі більше часу затрачується на комп’ютерні ігри;
• Ігнорування друзів та сім’ї;
• Відчуття порожнечі, депресії та роздратованості поза комп’ютером;
• Перекладання повсякденних турбот на плечі членів сім’ї;

Фізичні симптоми:
• Зап’ястний тунельний синдром — оніміння та зниження чутливості пальців;
• Сухі очі;
• Головні болі (схожі на мігрень);
• Болі у спині;
• Нерегулярне харчування — відсутність апетиту;
• Недотримання гігієни;
• Розлади сну.

Більшість гравців – дуже одинокі люди. Навіщо, коли живе спілкування замінюють ігри! Окрім того, приваблюють складні системи завдань та досягнень.
Головною причиною виникнення комп’ютерної залежності у дітей психологи вважають недостатнє спілкування і взаєморозуміння з батьками і однолітками. Ігри для них - це шлях самоствердитися, бо у віртуальному світі, все залежить тільки від твого уміння грати, а не від особистих якостей та умінь. Виникає ілюзія, що ти чогось досягаєш, а в житті може бути навпаки.

Не хочеш стати ігроманом, пам’ятай:
Не можна грати під час депресії, при серйозних змінах у житті.
Не варто грати, коли гостро відчуваєш самотність. Гравці погані співрозмовники.
Набагато зменшують ризик пристрасті до гри цікаве життя, знання, розуміння того, що алкоголь, наркотики та надмір ігор – це все один ланцюжок, кінцевий пункт якого - повна самоліквідація особистості. Імунітетом тут мають бути чуття міри та відповідальності. Згадай народну мудрість: «Що занадто, то нездорово».
4,5(32 оценок)
Ответ:
Alinochka1mimimi
Alinochka1mimimi
29.01.2020
Задача красиво решается при теории множеств. Рисуем три пересекающихся круга, Круги обозначаем Ц-цирк, Т-театр, К-каток. Заполняем известные количества, пересечение кругов Ц и Т = 30 (те, кто были в цирке и театре), пересечение К и Т = 32 (каток и театр), пересечение Ц и К =40. Пересечение всех трех кругов = те, кто были во всех трех заведениях, их 25. По рисунку получаем: только в цирке были 68-30+25-40 = 23 человека, только на катке были 100-32+25-40 = 53 человека. Дельта - второй ответ. Теперь посчитаем, сколько школьников было хоть где-то: 68+50-30+100-32+25-40 = 141. Соответственно нигде не были 9 человек.
4,5(13 оценок)
Новые ответы от MOGZ: Математика
logo
Вход Регистрация
Что ты хочешь узнать?
Спроси Mozg
Открыть лучший ответ