М
Молодежь
К
Компьютеры-и-электроника
Д
Дом-и-сад
С
Стиль-и-уход-за-собой
П
Праздники-и-традиции
Т
Транспорт
П
Путешествия
С
Семейная-жизнь
Ф
Философия-и-религия
Б
Без категории
М
Мир-работы
Х
Хобби-и-рукоделие
И
Искусство-и-развлечения
В
Взаимоотношения
З
Здоровье
К
Кулинария-и-гостеприимство
Ф
Финансы-и-бизнес
П
Питомцы-и-животные
О
Образование
О
Образование-и-коммуникации
ailina26
ailina26
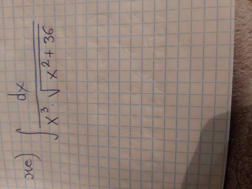
26.01.2022 18:07 •  Математика

Ещё один Интеграл! Для мозговитых людей! Буду благодарен!


Ещё один Интеграл! Для мозговитых людей! Буду благодарен!

👇
Ответ:
aika9626
aika9626
26.01.2022

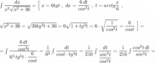
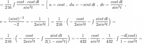
\int \dfrac{dx}{x^3\sqrt{x^2+36}}=\Big[\ x=6tgt\ ,\ dx=\dfrac{6\, dt}{cos^2t}\ ,\ t=arctg\dfrac{x}{6}\ ,\\\\\\\sqrt{x^2+36}=\sqrt{36tg^2t+36}=6\sqrt{1+tg^2t}=6\cdot \sqrt{\dfrac{1}{cos^2t}}=\dfrac{6}{cost}\ \Big]=\\\\\\=\int \dfrac{\dfrac{6\, dt}{cos^2t}}{6^3\, tg^3t\cdot \dfrac{6}{cost}}=\dfrac{1}{6^3}\int \dfrac{dt}{cost\cdot tg^3t}=\dfrac{1}{216}\int \dfrac{dt}{\dfrac{sin^3t}{cos^2t}}=\dfrac{1}{216}\int \dfrac{cos^2t\, dt}{sin^3t}=

=\dfrac{1}{216}\int \dfrac{cost\cdot cost\, dt}{sin^3t}=\Big[\ u=cost\ ,\ du=-sint\, dt\ ,\ dv=\dfrac{cost\, dt}{sin^3t}\ ,\\\\\\v=\dfrac{(sint)^{-2}}{-2}=-\dfrac{1}{2sin^2t}\ \Big]=\dfrac{1}{216}\cdot \Big(-\dfrac{cost}{2sin^2t}-\int \dfrac{sint\, dt}{2sin^2t}\Big)=\\\\\\=\dfrac{1}{216}\cdot \Big(-\dfrac{cost}{2sin^2t}-\int \dfrac{sint\, dt}{2(1-cos^2t)}\Big)=-\dfrac{1}{432}\cdot \dfrac{cost}{sin^2t}-\dfrac{1}{432}\cdot \int \dfrac{-d(cost)}{1-cos^2t}=

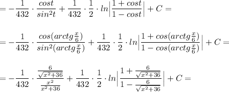
=-\dfrac{1}{432}\cdot \dfrac{cost}{sin^2t}+\dfrac{1}{432}\cdot \dfrac{1}{2}\cdot ln\Big|\dfrac{1+cost}{1-cost}\Big|+C=\\\\\\=-\dfrac{1}{432}\cdot \dfrac{cos(arctg\frac{x}{6})}{sin^2(arctg\frac{x}{6})}+\dfrac{1}{432}\cdot \dfrac{1}{2}\cdot ln\Big|\dfrac{1+cos(arctg\frac{x}{6})}{1-cos(arctg\frac{x}{6})}\Big|+C=\\\\\\=-\dfrac{1}{432}\cdot \dfrac{\frac{6}{\sqrt{x^2+36}}}{\frac{x^2}{x^2+36}}+\dfrac{1}{432}\cdot \dfrac{1}{2}\cdot ln\Big|\dfrac{1+\frac{6}{\sqrt{x^2+36}}}{1-\frac{6}{\sqrt{x^2+36}}}\Big|+C=

=-\dfrac{1}{432}\cdot \dfrac{6\sqrt{x^2+36}}{x^2}+\dfrac{1}{864}\cdot ln\Big|\dfrac{\sqrt{x^2+36}+6}{\sqrt{x^2+36}-6}\Big|+C

4,8(8 оценок)
Открыть все ответы
Ответ:
катя5091
катя5091
26.01.2022
Патриотизм - то есть признательная любовь к земле, тебя родившей и воспитавшей, так же органичен и естественен, как признательная любовь к людям, которые тебя родили и воспитали - родителям. Если нет любви к родителям (пусть и по вине самих родителей - причина тут не важна) - то человек ущербен. И точно так же с родной землей - если нет любви к ней, значит человек неполноценен. Другое дело, что ни одному нормальному человеку не придет в голову бегать по улицам и орать в голос: "Я люблю свою мать! Мой папаша лучше всех! " И точно также глупо и неуместно считать, что патриотизм заключается в криках "Россия - ура! Мы - лучшие! " Любовь нельзя привить и воспитать - она сама приходит в сердце. А сердце любит тишину. Его стук слышим только мы сами, да очень близкие люди, которым мы позволяем приникать к нашей груди. Поэтому и настоящая любовь тиха и неприметна. А считать, что патриотизм заключается в воплях, соплях и маршировании по улицам - глупость и очень дурной тон. Разве вы полюбите сильнее свою маму, если нарисуете ее лицо на флаге и начнете махать им в толпе?
4,5(8 оценок)
Ответ:
dasha89011
dasha89011
26.01.2022
Патриотизм - то есть признательная любовь к земле, тебя родившей и воспитавшей, так же органичен и естественен, как признательная любовь к людям, которые тебя родили и воспитали - родителям. Если нет любви к родителям (пусть и по вине самих родителей - причина тут не важна) - то человек ущербен. И точно так же с родной землей - если нет любви к ней, значит человек неполноценен. Другое дело, что ни одному нормальному человеку не придет в голову бегать по улицам и орать в голос: "Я люблю свою мать! Мой папаша лучше всех! " И точно также глупо и неуместно считать, что патриотизм заключается в криках "Россия - ура! Мы - лучшие! " Любовь нельзя привить и воспитать - она сама приходит в сердце. А сердце любит тишину. Его стук слышим только мы сами, да очень близкие люди, которым мы позволяем приникать к нашей груди. Поэтому и настоящая любовь тиха и неприметна. А считать, что патриотизм заключается в воплях, соплях и маршировании по улицам - глупость и очень дурной тон. Разве вы полюбите сильнее свою маму, если нарисуете ее лицо на флаге и начнете махать им в толпе?
4,5(49 оценок)
Это интересно:
Новые ответы от MOGZ: Математика
logo
Вход Регистрация
Что ты хочешь узнать?
Спроси Mozg
Открыть лучший ответ