М
Молодежь
К
Компьютеры-и-электроника
Д
Дом-и-сад
С
Стиль-и-уход-за-собой
П
Праздники-и-традиции
Т
Транспорт
П
Путешествия
С
Семейная-жизнь
Ф
Философия-и-религия
Б
Без категории
М
Мир-работы
Х
Хобби-и-рукоделие
И
Искусство-и-развлечения
В
Взаимоотношения
З
Здоровье
К
Кулинария-и-гостеприимство
Ф
Финансы-и-бизнес
П
Питомцы-и-животные
О
Образование
О
Образование-и-коммуникации
Jordan2281337
Jordan2281337
27.12.2021 22:12 •  Математика

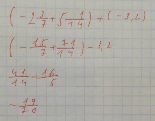
(- 2\frac{3}{7} + 5 \frac{1}{14} ) + ( - 3.2) напишите на листке (;´༎ຶٹ༎ຶ`)​

👇
Ответ:
mogilevser
mogilevser
27.12.2021

Все решения на фото, познач як краща відповідь


напишите на листке (;´༎ຶٹ༎ຶ`)​
4,4(48 оценок)
Открыть все ответы
Ответ:
MBmagic
MBmagic
27.12.2021
.Прочитайте.Поставьте вопросы к выделенным прилагательным,укажите их падеж и род. Мой брат рассказывал,как однажды ранним зимним утром вышел он из леснойизбушки и на морозе сразу почувствовал себя бодрым и весёлым.Всё было покрыто блестящим пушистым инеем.В своём зимнем утреннем уборе каждое дерево резко выделялось на светлом фоне зари.Иней красивыми звёздочками сверкал в прозрачном воздухе.Мой брат долго любовался прекрасным видом зимней природы.2.Выпишите в один столбик прилагательные в творительным падеже вместе с существительными в другой столбик прилагательные в предложном падеже.3.сравните окончание прилагательных в творительном и предложном падежах.В чём различие
4,8(99 оценок)
Ответ:
леся546576
леся546576
27.12.2021
 Составим уравнение : (95-7х) : (60-6х) = 2                                                        95-7х=2*(60-6х)                                                                                        95-7х=120-12х                                                                                          12х-7х=120-95                                                                                          5х=25                                                                                                        х=25:5                                                                                                            х=5.  ответ : 5часов.                                                                                    2) 95-60=35зад ( больше решает задач)                                               35:7=5ч ( время для решения этих задач Ильхаму)                             5*6=30зад( решит Сахиб за то же время)                                                             95-35=60( останется решить Ильхаму через 5ч)                                  60-30 =30(останется решить Сахибу через 5 ч)                                   60:30=2раза (больше останется решить Ильхаму , чем Сахибу).                                                                                    ответ: через 5 часов.                                                                                                                    
4,8(34 оценок)
Это интересно:
Новые ответы от MOGZ: Математика
logo
Вход Регистрация
Что ты хочешь узнать?
Спроси Mozg
Открыть лучший ответ