Вход
Регистрация
Спроси Mozg AI
М
Молодежь
К
Компьютеры-и-электроника
Д
Дом-и-сад
С
Стиль-и-уход-за-собой
П
Праздники-и-традиции
Т
Транспорт
П
Путешествия
С
Семейная-жизнь
Ф
Философия-и-религия
Б
Без категории
М
Мир-работы
Х
Хобби-и-рукоделие
И
Искусство-и-развлечения
В
Взаимоотношения
З
Здоровье
К
Кулинария-и-гостеприимство
Ф
Финансы-и-бизнес
П
Питомцы-и-животные
О
Образование
О
Образование-и-коммуникации
.....больше.....
..меньше..
annapetrovakons
31.03.2021 23:19 •
Математика
Практическая по математике "преобразование степенных показательных выражений. Решение показательных уравнений и неравенств"
👇
Увидеть ответ
Ответ:
64681
31.03.2021
здесь нет корней.
ответ: 2
4,5
(58 оценок)
Открыть все ответы
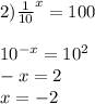
Ответ:
ElizavetaBro34
31.03.2021
ДАНО
Y = x³ - 1/3*x
ИССЛЕДОВАНИЕ.
1. Область определения.
Х∈(-∞,+∞)
2. Пересечение с осью Х - корни функции
Y = x*(x² - 1/3.
Корни - х1=0 и х2 = - 1/√3 и х3 = 1/√3.
3. Пересечение с осью У.
У(0) = 0.
4. Поведение на бесконечности
У(-∞) = -∞
У(+∞) = +∞
5. Исследование на четность.
Y(-х) = - (3x³ - x)/3
Y(x) = (3x³-x)/3
Функция нечетная.
6. Производная функции - красная парабола
Y' = 3x² - 1/3
7. Корни производной - точки экстремумов.
х1 = - 1/3 и х2 = 1/3.
8. Значения в точках экстремума.
Ymax(- 1/3) = 0.074
Ymin(1/3) = - 0.074
9. Возрастает - Х∈(-∞;-1/3]∪[1/3;+∞)
Убывает - Х∈[-1/3; 1/3]
10. Вторая производная - точка перегиба - зеленая прямая
Y" = 6x = 0
точка перегиба - Х=0.
11.
Выпуклая - Y" <0 X∈(-∞;0] - желтая
Вогнутая - Y" >0 X∈[;+∞). - синяя
4,6
(26 оценок)
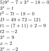
Ответ:
натахасуслик
31.03.2021
ДАНО
Y = x³ - 1/3*x
ИССЛЕДОВАНИЕ.
1. Область определения.
Х∈(-∞,+∞)
2. Пересечение с осью Х - корни функции
Y = x*(x² - 1/3.
Корни - х1=0 и х2 = - 1/√3 и х3 = 1/√3.
3. Пересечение с осью У.
У(0) = 0.
4. Поведение на бесконечности
У(-∞) = -∞
У(+∞) = +∞
5. Исследование на четность.
Y(-х) = - (3x³ - x)/3
Y(x) = (3x³-x)/3
Функция нечетная.
6. Производная функции - красная парабола
Y' = 3x² - 1/3
7. Корни производной - точки экстремумов.
х1 = - 1/3 и х2 = 1/3.
8. Значения в точках экстремума.
Ymax(- 1/3) = 0.074
Ymin(1/3) = - 0.074
9. Возрастает - Х∈(-∞;-1/3]∪[1/3;+∞)
Убывает - Х∈[-1/3; 1/3]
10. Вторая производная - точка перегиба - зеленая прямая
Y" = 6x = 0
точка перегиба - Х=0.
11.
Выпуклая - Y" <0 X∈(-∞;0] - желтая
Вогнутая - Y" >0 X∈[;+∞). - синяя
4,6
(26 оценок)
Это интересно:
З
Здоровье
05.02.2021
Как избавиться от узлов в мышцах: причины, симптомы и методы лечения...
С
Семейная-жизнь
23.06.2022
Как избежать рвоты беременных...
27.02.2021
Как изменить всю свою личность: советы от психологов...
П
Питомцы-и-животные
17.04.2023
Объемная кровать для собаки: сделай сам и порадуй своего питомца...
К
Компьютеры-и-электроника
19.12.2022
Как отключить автозагрузку приложений на Android...
К
Кулинария-и-гостеприимство
04.04.2021
Как правильно есть джикама: готовимся к встрече с экзотикой...
М
Мир-работы
11.09.2020
Методы эффективной работы в многозадачном режиме...
П
Праздники-и-традиции
31.12.2021
Как стать настоящей тусовщицей: секреты общения и завоевания новых знакомств...
27.06.2021
Как заставить людей в школе считать, что вы русалка?...
О
Образование-и-коммуникации
06.10.2021
Как решать кубические уравнения: подробное руководство...
Новые ответы от MOGZ: Математика
vikamorgunova0
13.08.2020
Сторона квадрата j см чему равен его периметр решить...
яяя612
29.03.2022
1)14-(60-6)= 2)13+(96-13)= 3)33-(-48+33) 4)78-(88-99) 5)55+(18-55)=...
Кирилл6901
22.09.2021
СОР⚠️⚠️⚠️⚠️⚠️⚠️⚠️⚠️⚠️⚠️⚠️⚠️⚠️⚠️⚠️⚠️⚠️...
sasha230200487
23.04.2020
18 в 8 степени разделить на 32 х 27 в четвёртой степени...
Вазген228
07.07.2021
решить: а)31² б)8³ в)(6×9)² г)6×9² д)(6+9)² е)6²+9...
seryakovart
05.01.2021
1 ва + 1; ) 1 а при а = 14; 2 3...
mariyayakovleva1
01.08.2021
B. магазине было 3 рулона рулона ткани ткани по 60 м каждом. Продали пятую часть всей ткани. Сколько метров ткани осталось? 1) 60*3=180(м)-всего.. 2)180:5=36(м)-продали. 3)...
MsrDoge123
06.07.2021
, но верное.. если не уверенны не надо.. это важная работа очень...
ezio19
27.01.2020
1/5m+7/40m-1/8m если m =1/10 упрости выражение...
asdghkbf
29.08.2022
Вычислите: (7/48*4 4/5)*1 3/10+4 1/5= Да...
MOGZ ответил
Определите особенности проведения школьной реформы на белорусских землях....
сделать упражнение... Выпишите из упраж. все слова с проверяемыми-безударными...
Що цінного ви взяли для себе з твору Б.Космовської Буба...
По какому принципу можно сгруппировать слова с пропущенными буквами? Выпишите...
По какому принципу объединены эти слова гастаты, принципу , триарии...
Терміново! відповідь на одне питання...
На сторонах угла ∡ точки и находятся на равных расстояниях от вершины угла...
Назовите героев книги детство в Соломбале ...
Первые 440 км автомобиль ехал со скоростью 110 км ч следующие 105км со скоростью...
Посмотри на картинки и скажи что эти люди решили делать в конце недели Англ...
Полный доступ к MOGZ
Живи умнее Безлимитный доступ к MOGZ
Оформи подписку
О НАС
О нас
Блог
Условия пользования
Авторское право
Политика конфиденциальности
Предпочтения cookie-файлов
ПОМОЩЬ
Зарегистрируйся
Центр помощи
Центр безопасности
App
Вход
Регистрация
Что ты хочешь узнать?
Спроси Mozg
Открыть лучший ответ
здесь нет корней.
ответ: 2