М
Молодежь
К
Компьютеры-и-электроника
Д
Дом-и-сад
С
Стиль-и-уход-за-собой
П
Праздники-и-традиции
Т
Транспорт
П
Путешествия
С
Семейная-жизнь
Ф
Философия-и-религия
Б
Без категории
М
Мир-работы
Х
Хобби-и-рукоделие
И
Искусство-и-развлечения
В
Взаимоотношения
З
Здоровье
К
Кулинария-и-гостеприимство
Ф
Финансы-и-бизнес
П
Питомцы-и-животные
О
Образование
О
Образование-и-коммуникации

Розвяжіть рівняня x:5.7=4.5:1 2.7

👇
Ответ:
Urjdifk135
Urjdifk135
13.01.2020

Пошаговое объяснение:

Розв"язуємо пропорцією :

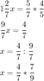
\displaystyle x: \frac{5}{7} = \frac{4}{5} : 1 \frac{2}{7}

\displaystyle \\ \\ 1 \frac{2}{7} x = \frac{5}{7} * \frac{4}{5} \\ \\ \frac{9}{7} x = \frac{4}{7} \\ \\ x= \frac{4}{7} : \frac{9}{7}\\ \\ x= \frac{4}{7} * \frac{7}{9}

\displaystyle x= \frac{4}{9}

4,6(14 оценок)
Открыть все ответы
Ответ:
grigorievatany
grigorievatany
13.01.2020

Пусть х- двухколесные, то у трехколёсные. Из условия задачи х+у= 12 , 2х+3у= 27. Подставляем первое выражение во второе х=12-у 2(12-у)+3у=27. 24-2у+3у=27. У=3 - а это трехколёсные велосипеды. ответ 3 трехколёсных велосипеда продавали По условию- 12 рулей, значит, всего было 12 велосипедов. Развесим сначала на все велосипеды по 2 колеса

1) 2*12=24 (к) столько потратили колес , сделав из всех велосипедов двухколесные велосипеды

2) 27-24=3 (к) остались лишними.

Именно эти три колеса мы должны еще навесить на велосипеды, которые уже с двумя колесами, чтобы получить трехколесные велосипеды. Значит, мы должны еще добавить по одному колесу. 3 колеса хватит только на 3 велосипеда.  Поэтому трехколесных у нас только 3 велосипеда.

ответ: 3 велосипедика

4,7(34 оценок)
Ответ:
ama14
ama14
13.01.2020

средняя линия треугольника параллельна одной из его сторон и равна её половине. Значит, каждая из средних линий равна половине одной из сторон треугольника. Значит, периметр треугольника равен удвоенному периметру треугольника, состоящему из средних линий

1) 42*2=84 см периметр нашего треугольника

2) пусть х см- вторая сторона, то 1,4х- первая сторона, а 0,6х- третья сторона ( 1+0,4=1,4. 1-0,4=0,6)

По условию: 1,4х+х+0,6х=84

3х=84

Х=28см вторая сторона 28*1,4=39,2 см первая сторона 28*0,6=16,8 см третья сторона.

3) 28:2=14 см 39,2:2=19,6 см 16,8:2=8,4. Все три средние линии.

4,5(72 оценок)
Это интересно:
Новые ответы от MOGZ: Математика
logo
Вход Регистрация
Что ты хочешь узнать?
Спроси Mozg
Открыть лучший ответ