М
Молодежь
К
Компьютеры-и-электроника
Д
Дом-и-сад
С
Стиль-и-уход-за-собой
П
Праздники-и-традиции
Т
Транспорт
П
Путешествия
С
Семейная-жизнь
Ф
Философия-и-религия
Б
Без категории
М
Мир-работы
Х
Хобби-и-рукоделие
И
Искусство-и-развлечения
В
Взаимоотношения
З
Здоровье
К
Кулинария-и-гостеприимство
Ф
Финансы-и-бизнес
П
Питомцы-и-животные
О
Образование
О
Образование-и-коммуникации
валерия821
валерия821
30.03.2020 11:05 •  Математика

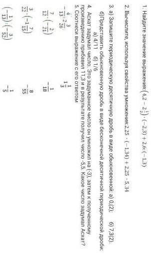
умоляю дали 5 мин поже зметьте​​ я поже меня сейчас учитель убьёт !


умоляю дали 5 мин поже зметьте​​ я поже меня сейчас учитель убьёт !

👇
Открыть все ответы
Ответ:
andriytustanov
andriytustanov
30.03.2020
Задание 5-9 Математика 5+3 б произведение четырёх последовательных натуральных чисел равно 3024.Найдите сумму этих чисел Аккаунт Удален 11.10.2013 Попросите больше объяснений Отметить нарушение! ответы и объяснения ответы и объяснения 2 Аватар пользователя vLaaDaa Лучший ответ! VLaaDaa середнячок ответил 11.10.2013 1) первое число =х (натуральное, целое) второе=х+1, третье = х+2 четвёртое = х+3 2) х(х+1)(х+2)(х+3)=3024 3) 3024 - кратно 2 и 3 4) применяем метод угадывания: допустим, х=1, тогда 1(1+1)(1+2)(1+3)= 1*2*3*4=24 24 не равно 3024, значит х не равно 1 5) допустим, х=2, тогда 2(2+1)(2+2)(2+3)= 2*3*4*5= 120 120 не равно 3024, значит х не равно 2 6) допустим, х =3, тогда 3(3+1)(3+2)(3+3)= 3*4*5*6= 360 360 не равно 3024, поэтому х не равно 3 7) допустим, х=6, тогда 6(6+1)(6+2)(6+3)= 6*7*8*9=3024 3024=3024, значит х=6 (мы угадали х) 8) первое число =6, значит второе число=7, третье=8, четвёртое=9 ответ: эти числа- 6,7,8,9
4,7(1 оценок)
Ответ:
POZZITIFFON34
POZZITIFFON34
30.03.2020
Душа удобна. Она находится на стыке стихоплетства, религии и словоблудия… И даже математики - говорят, после смерти наше тело теряет 9 грамм... Для религии душа - поле битвы бога злого и бога доброго, и нам стоит последнему. В жизни душа скорее похожа на высоченный книжный стеллаж, где прямо перед тобой всякие милые детективчики и скабрезные романы. Протяни руку и читай! Хочешь чего помудрее - подставляй лестницу и с риском для жизни доставай талмуды и фолианты с верхних полок. Ну а самые-самые книги просто не достать - они парят в выси и уже не понятно - обложки ли это или ангельские крылья... наверное примерно так, душа это наше бессознательная компетенция
4,6(13 оценок)
Это интересно:
Новые ответы от MOGZ: Математика
logo
Вход Регистрация
Что ты хочешь узнать?
Спроси Mozg
Открыть лучший ответ