М
Молодежь
К
Компьютеры-и-электроника
Д
Дом-и-сад
С
Стиль-и-уход-за-собой
П
Праздники-и-традиции
Т
Транспорт
П
Путешествия
С
Семейная-жизнь
Ф
Философия-и-религия
Б
Без категории
М
Мир-работы
Х
Хобби-и-рукоделие
И
Искусство-и-развлечения
В
Взаимоотношения
З
Здоровье
К
Кулинария-и-гостеприимство
Ф
Финансы-и-бизнес
П
Питомцы-и-животные
О
Образование
О
Образование-и-коммуникации
Ларибум
Ларибум
19.10.2020 06:42 •  Математика

Ребята я вас умоляю н где не могу найти и сам не понимаю выручите думаю поймёте меня ​


Ребята я вас умоляю н где не могу найти и сам не понимаю выручите думаю поймёте меня ​

👇
Ответ:
r0ma000
r0ma000
19.10.2020

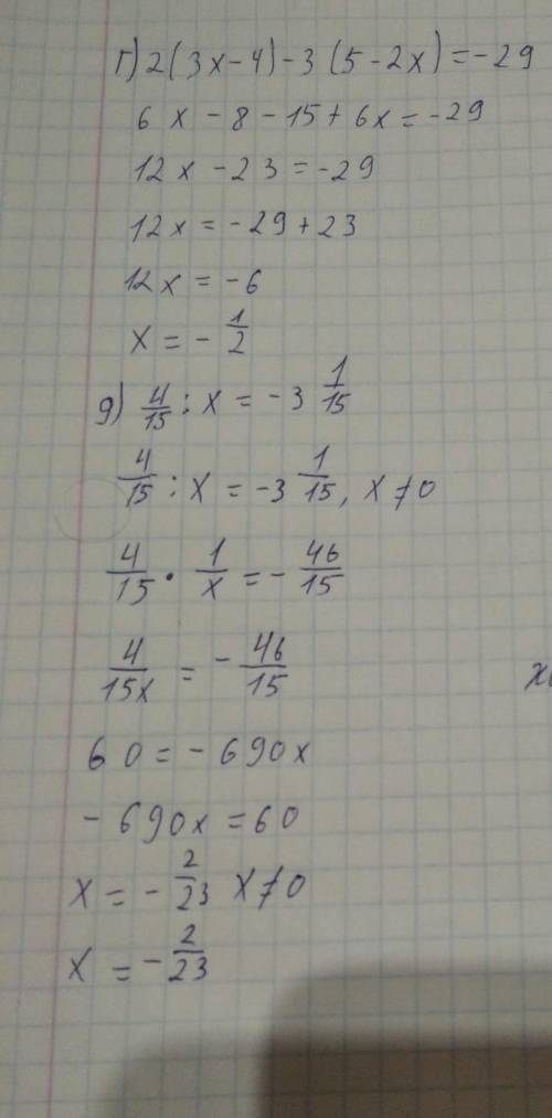
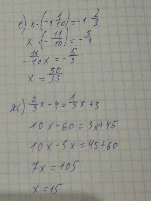
надеюсь и понятно


Ребята я вас умоляю н где не могу найти и сам не понимаю выручите думаю поймёте меня ​
Ребята я вас умоляю н где не могу найти и сам не понимаю выручите думаю поймёте меня ​
4,5(88 оценок)
Открыть все ответы
Ответ:
9159360948
9159360948
19.10.2020
Го́рные поро́ды — природная совокупность минералов более или менее постоянного минералогического состава, образующая самостоятельное тело в земной коре. Планеты и другие твёрдые космические объекты состоят из горных пород.
По происхождению горные породы делятся на три группы: магматические (эффузивные и интрузивные) , осадочные и метаморфические. Магматические и метаморфические горные породы слагают около 90 % объёма земной коры, однако, на современной поверхности материков области их распространения сравнительно невелики.
Минерал - это встречающийся в природе материал, сформировавшийся посредством геологических процессов, который имеет характерный химический состав, высоко организованное строение атома и определенные физические свойства. Горные породы, для сравнения, это совокупность минералов и они могут не иметь определенного химического состава. Минералы располагаются по составам от чистых элементов и простых солей к очень сложным силикатам с тысячами известных форм. Исследование минералов называют минералогией.
Немногие горные породы преобладающе состоят только из одного минерала. Например, известняк - осадочная горная порода, состоящая почти полностью из минерального кальцита. Другие горные породы содержат много минералов, и определенные минералы могут часто встречаться в разных породах.
Некоторые минералы, такие как кварц, слюда или полевой шпат достаточно распространены, в то время как другие встречались только в одном или двух местах во всем мире. Огромное количество горных пород земной коры состоит из кварца, полевого шпата, слюды, хлорита, каолина, кальцита, эпидота, оливина, авгита, хорнбленда, магнетита, гематита, лимонита и некоторых других минералов. Более половины известных разновидностей минералов настолько редки, что удалось найти лишь горстку их образцов, а многие известны только по одному или двум маленьким зернам.
Коммерчески ценные минералы и горные породы называются индустриальными минералами. Горные породы, из которых добываются минералы в экономических целях, упоминаются как руды (горные породы и минералы, которые остаются, после того, как полезный минерал был отделен от руды, называются пустой породой) .
Главный фактор определения в формировании минералов в массе горной породы - это химический состав массы, поскольку определенный минерал может быть сформирован только тогда, когда необходимые элементы присутствуют в породе. Кальцит является самым обычным элементом в известняках, поскольку они состоят по существу из карбоната кальция; кварц обычно встречается в песчаниках и в определенных вулканических породах, которые содержат высокий процент кремния.
4,6(50 оценок)
Ответ:
Bksd
Bksd
19.10.2020
Го́рные поро́ды — природная совокупность минералов более или менее постоянного минералогического состава, образующая самостоятельное тело в земной коре. Планеты и другие твёрдые космические объекты состоят из горных пород.
По происхождению горные породы делятся на три группы: магматические (эффузивные и интрузивные) , осадочные и метаморфические. Магматические и метаморфические горные породы слагают около 90 % объёма земной коры, однако, на современной поверхности материков области их распространения сравнительно невелики.
Минерал - это встречающийся в природе материал, сформировавшийся посредством геологических процессов, который имеет характерный химический состав, высоко организованное строение атома и определенные физические свойства. Горные породы, для сравнения, это совокупность минералов и они могут не иметь определенного химического состава. Минералы располагаются по составам от чистых элементов и простых солей к очень сложным силикатам с тысячами известных форм. Исследование минералов называют минералогией.
Немногие горные породы преобладающе состоят только из одного минерала. Например, известняк - осадочная горная порода, состоящая почти полностью из минерального кальцита. Другие горные породы содержат много минералов, и определенные минералы могут часто встречаться в разных породах.
Некоторые минералы, такие как кварц, слюда или полевой шпат достаточно распространены, в то время как другие встречались только в одном или двух местах во всем мире. Огромное количество горных пород земной коры состоит из кварца, полевого шпата, слюды, хлорита, каолина, кальцита, эпидота, оливина, авгита, хорнбленда, магнетита, гематита, лимонита и некоторых других минералов. Более половины известных разновидностей минералов настолько редки, что удалось найти лишь горстку их образцов, а многие известны только по одному или двум маленьким зернам.
Коммерчески ценные минералы и горные породы называются индустриальными минералами. Горные породы, из которых добываются минералы в экономических целях, упоминаются как руды (горные породы и минералы, которые остаются, после того, как полезный минерал был отделен от руды, называются пустой породой) .
Главный фактор определения в формировании минералов в массе горной породы - это химический состав массы, поскольку определенный минерал может быть сформирован только тогда, когда необходимые элементы присутствуют в породе. Кальцит является самым обычным элементом в известняках, поскольку они состоят по существу из карбоната кальция; кварц обычно встречается в песчаниках и в определенных вулканических породах, которые содержат высокий процент кремния.
4,8(29 оценок)
Это интересно:
Новые ответы от MOGZ: Математика
logo
Вход Регистрация
Что ты хочешь узнать?
Спроси Mozg
Открыть лучший ответ