М
Молодежь
К
Компьютеры-и-электроника
Д
Дом-и-сад
С
Стиль-и-уход-за-собой
П
Праздники-и-традиции
Т
Транспорт
П
Путешествия
С
Семейная-жизнь
Ф
Философия-и-религия
Б
Без категории
М
Мир-работы
Х
Хобби-и-рукоделие
И
Искусство-и-развлечения
В
Взаимоотношения
З
Здоровье
К
Кулинария-и-гостеприимство
Ф
Финансы-и-бизнес
П
Питомцы-и-животные
О
Образование
О
Образование-и-коммуникации
DiMOn4iK25
DiMOn4iK25
02.03.2023 05:20 •  Математика

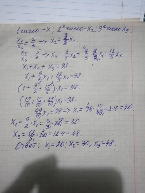
Сумма трех чисел 98. Первое число относится к второму которое 2:3. Второе число относится к третему которое 5:8. какие эти три числа? очень нужет ответ

👇
Ответ:
Boxing12474
Boxing12474
02.03.2023

Пошаговое объяснение:


Сумма трех чисел 98. Первое число относится к второму которое 2:3. Второе число относится к третему
4,5(68 оценок)
Ответ:
Redimer
Redimer
02.03.2023

Хорошо с тебя корона

держи:

a+b+c = 98

a - первое число

b - второе число

с - 3-е число

a/b = 2/3

b/c = 5/8        

a=(b+3)/2

c=(b+5)/8  

Подставим

(b+3)/2 + b + (b+5)/8  = 98

(4b+12+8b+b+5)/8 = 98

4b+12+8b+b+5 = 784

13b+17=784

13b= 767

b=59 - второе число

a=(b+3)/2 = 26 - первое число

c=(b+5)/8 = 8 - третие число

Можно проеверку зделать

26+59+8=98

4,7(24 оценок)
Открыть все ответы
Ответ:
ildarka34
ildarka34
02.03.2023
Im Frühling können wir aus der Stadt und einen Spaziergang im Wald oder entlang des Flusses zu gehen, Ballspiele , in der Sonne liegen und sogar schwimmen, wenn das Wasser warm genug. Das ist, warum ich liebe Frühling, mehr als jede andere Zeit des Jahres.Ich liebe Frühling. Dies ist eine wunderbare Zeit des Jahres.
Der Frühling kommt und die Natur erwacht aus dem Winterschlaf . Die Tage werden länger und die Nächte kürzer.
Der Boden ist mit frischen grünen Gras und Frühlingsblumen bedeckt zuerst angezeigt. Wie schön weißen Schneeglöckchen ! Es gibt neue Blätter und Blüten von Bäumen. 
Die Vögel beginnen zu singen und bauen ihre Nester . Die Luft ist frisch , und die Sonne scheint hell . Die Tage sind warm und alles ist voller Leben und Freude. Jeder fühlt sich jünger und stärker.
Viele Menschen lieben die Feder mehr als zu anderen Zeiten des Jahres. Es ist eine Freude zu sehen, wie die Natur erwacht aus dem Winterschlaf .
Im Frühling können wir aus der Stadt und einen Spaziergang im Wald oder entlang des Flusses zu gehen, Ballspiele , in der Sonne liegen und sogar schwimmen, wenn das Wasser warm genug. Das ist, warum ich liebe Frühling, mehr als jede andere Zeit des Jahres.
Перевод:
Я люблю весну. Это прекрасное время года.
Весна приходит и природа просыпается от зимней спячки. Дни становятся длиннее, а ночи становятся короче.
Земля покрыта свежей зеленой травой и появляются первые весенние цветы. Какая прелесть белые подснежники! Появляются новые листья и цветы на деревьях.
Птицы начинают петь и строить свои гнезда. Воздух свеж, и ярко светит солнце.
Дни теплые и все полно жизни и радости. Каждый чувствует себя моложе и сильнее.
Многие люди любят весну больше, чем другие времена года. Очень приятно наблюдать, как природа просыпается от зимнего сна. 
Весной мы можем поехать за город и прогулятся в лесу или по берегу реки, играть в игры с мячом, полежать на солнце и даже поплавать, если вода достаточно теплая.
Вот почему я люблю весну больше, чем любое другое время года.
4,5(33 оценок)
Ответ:
Arina8987
Arina8987
02.03.2023
Im Frühling können wir aus der Stadt und einen Spaziergang im Wald oder entlang des Flusses zu gehen, Ballspiele , in der Sonne liegen und sogar schwimmen, wenn das Wasser warm genug. Das ist, warum ich liebe Frühling, mehr als jede andere Zeit des Jahres.Ich liebe Frühling. Dies ist eine wunderbare Zeit des Jahres.
Der Frühling kommt und die Natur erwacht aus dem Winterschlaf . Die Tage werden länger und die Nächte kürzer.
Der Boden ist mit frischen grünen Gras und Frühlingsblumen bedeckt zuerst angezeigt. Wie schön weißen Schneeglöckchen ! Es gibt neue Blätter und Blüten von Bäumen. 
Die Vögel beginnen zu singen und bauen ihre Nester . Die Luft ist frisch , und die Sonne scheint hell . Die Tage sind warm und alles ist voller Leben und Freude. Jeder fühlt sich jünger und stärker.
Viele Menschen lieben die Feder mehr als zu anderen Zeiten des Jahres. Es ist eine Freude zu sehen, wie die Natur erwacht aus dem Winterschlaf .
Im Frühling können wir aus der Stadt und einen Spaziergang im Wald oder entlang des Flusses zu gehen, Ballspiele , in der Sonne liegen und sogar schwimmen, wenn das Wasser warm genug. Das ist, warum ich liebe Frühling, mehr als jede andere Zeit des Jahres.
Перевод:
Я люблю весну. Это прекрасное время года.
Весна приходит и природа просыпается от зимней спячки. Дни становятся длиннее, а ночи становятся короче.
Земля покрыта свежей зеленой травой и появляются первые весенние цветы. Какая прелесть белые подснежники! Появляются новые листья и цветы на деревьях.
Птицы начинают петь и строить свои гнезда. Воздух свеж, и ярко светит солнце.
Дни теплые и все полно жизни и радости. Каждый чувствует себя моложе и сильнее.
Многие люди любят весну больше, чем другие времена года. Очень приятно наблюдать, как природа просыпается от зимнего сна. 
Весной мы можем поехать за город и прогулятся в лесу или по берегу реки, играть в игры с мячом, полежать на солнце и даже поплавать, если вода достаточно теплая.
Вот почему я люблю весну больше, чем любое другое время года.
4,6(92 оценок)
Это интересно:
Новые ответы от MOGZ: Математика
logo
Вход Регистрация
Что ты хочешь узнать?
Спроси Mozg
Открыть лучший ответ