М
Молодежь
К
Компьютеры-и-электроника
Д
Дом-и-сад
С
Стиль-и-уход-за-собой
П
Праздники-и-традиции
Т
Транспорт
П
Путешествия
С
Семейная-жизнь
Ф
Философия-и-религия
Б
Без категории
М
Мир-работы
Х
Хобби-и-рукоделие
И
Искусство-и-развлечения
В
Взаимоотношения
З
Здоровье
К
Кулинария-и-гостеприимство
Ф
Финансы-и-бизнес
П
Питомцы-и-животные
О
Образование
О
Образование-и-коммуникации
GETRRRR
GETRRRR
31.08.2021 08:56 •  Математика

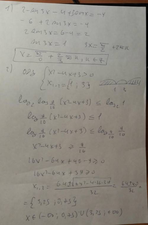
Сложные по ! , иначе мне будет плохо​

👇
Ответ:
rtydykov
rtydykov
31.08.2021

Пошаговое объяснение:


Сложные по ! , иначе мне будет плохо​
Сложные по ! , иначе мне будет плохо​
4,7(11 оценок)
Открыть все ответы
Ответ:
Ymnusha
Ymnusha
31.08.2021
Начнём с конца, когда раздавали по 4 яблока.

Если 15 оставшихся яблок последовательно раздать детям, то двум последним не хватит, так как если у последнего взять одно яблоко и отдать предпоследнему, то, как раз и окажется, что всем, кроме последнего досталось по 5 яблок, а у последнего будет только 3.

Значит детей на два больше, чем 15, итак детей – 17.

Значит яблок 17*4+15 = 68+15 = 83.

Заметим, что если бы яблок было 85, то их можно было бы раздать поровну всем по 5 яблок.

Но их всего 83, поэтому последнему достанется только 3 яблока, если всем предыдущим раздать по 5, как это и сказано в условии.

О т в е т : 83 яблока на 17 детей.
4,8(2 оценок)
Ответ:
арина1253
арина1253
31.08.2021
1) 34*2=68(км) - проплыл первый катер за 2 часа.
    36*2=72 (км) - проплыл второй катер за 2 часа.
    68+72=140 (км) - проплыли оба катера.
    140+5=145(км) - расстояние между пристанями.
ответ: 145 км расстояние между пристанями.

2) 60*4=240(км) - проехал первый автобус за 4 часа.
    460-240=220(км) - проехал второй автобус за 4 часа.
    220:4=55 (км/ч) - скорость второго автобуса.
ответ: 55км/ч скорость второго автобуса.

3) 25+20=45(км/ч) - общая скорость за час
    180:45=4(ч) - они встретятся.
ответ: через 4часа они встретятся.
4,6(79 оценок)
Это интересно:
Новые ответы от MOGZ: Математика
logo
Вход Регистрация
Что ты хочешь узнать?
Спроси Mozg
Открыть лучший ответ