М
Молодежь
К
Компьютеры-и-электроника
Д
Дом-и-сад
С
Стиль-и-уход-за-собой
П
Праздники-и-традиции
Т
Транспорт
П
Путешествия
С
Семейная-жизнь
Ф
Философия-и-религия
Б
Без категории
М
Мир-работы
Х
Хобби-и-рукоделие
И
Искусство-и-развлечения
В
Взаимоотношения
З
Здоровье
К
Кулинария-и-гостеприимство
Ф
Финансы-и-бизнес
П
Питомцы-и-животные
О
Образование
О
Образование-и-коммуникации
serezhenkoui
serezhenkoui
26.09.2021 17:10 •  Математика

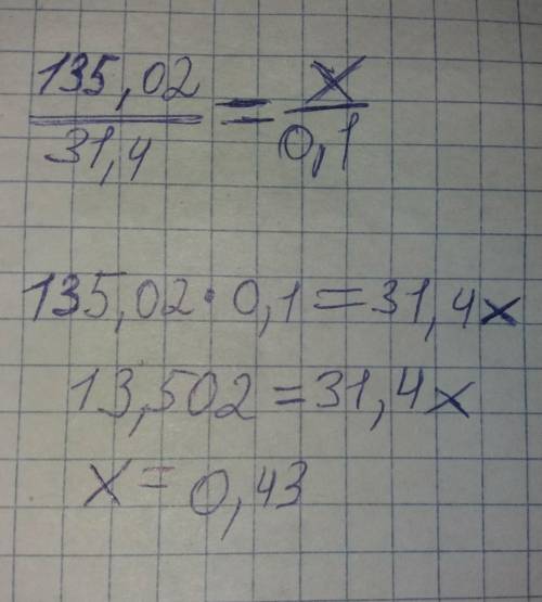
Реши пропорцию:

135,0231,4=x0,1.

ответ: x=

👇
Ответ:
ева519
ева519
26.09.2021

0,43

Пошаговое объяснение:

135,02/31,4=x/0,1

135,02*0.1=31.4x

13,502=31,4x

0.43=x

4,6(42 оценок)
Ответ:
hodos10
hodos10
26.09.2021

Вот держи сам решил)))))))))))))


Реши пропорцию: 135,0231,4=x0,1. ответ: x=
4,6(82 оценок)
Открыть все ответы
Ответ:
akaspiyskaya
akaspiyskaya
26.09.2021
Итальянские исследователи из института кристаллографии в бари, ведомые профессором джулио фанти из университета падуи, применили самое современное оборудование для того, что рассмотреть в мельчайших — нано - подробностях волокна туринской плащаницы. просвечивающий электронный микроскоп и широкоугольный рентгеновский сканирующий микроскоп, которыми они обзавелись, позволили увидеть то, что раньше ускользало из поля зрения предшественников. итальянцы полагают, что обнаружили на ткани частицы крови — настоящей человеческой крови. а в них - ферритин — биологическое вещество на основе железа и креатинин — аминокислотный комплекс, который поступает в кровь из мышц. эти вещества присутствовали в таком характерном виде, позволившим сделать вывод: кровь принадлежит человеку, которого нещадно мучили — пытали и не давали пить.
4,5(8 оценок)
Ответ:
ilay23143p0bp8a
ilay23143p0bp8a
26.09.2021
Давайте найдем первообразную F(x) (если она подразумевается).
Производная от F(x) - это f(x). Первая часть неравенства меньше нуля, когда f(x)<0, => -2x+3<0 => x > (3/2)

Вторая часть сама первообразная. Давайте найдем нужную (при F(0)=4).
F(x) = \frac{-2x^{2}}{2} + 3x + C
Где C - аддитивная константа.
Решим и это неравенство.
При F(0) = C, значит C = 4.
Отсюда нужная F(x)=-x^{2}+3x+4
Она же меньше нуля.
Решим методом интервалов.
Определим, когда F(x)=0.
-x^2+3x+4=0
D=3^2+4^2=9+16=25=5^2
Тогда
x=\frac{-3+5}{-2} = \frac{2}{-2} =-1
x=\frac{-3-5}{-2} = \frac{-8}{-2} =4
Составим интервалы. Знаки в интервалах можно определить, просто подставляя значения из них в ф-ию.
(-inf;-1)<0
(-1;4)>0
(4;+inf)<0
Нам, судя по нер-вам, нужны <0, значит подходят
(-inf;-1)u(4;+inf)
Теперь объединим. Не указано "И" или "ИЛИ" поэтому сделаю оба варианта.
Если "И" (фигурные скобки)
x принадлежит (4;+inf).
Если "ИЛИ" (квадратные скобки)
x принадлежит (-inf;-1)u(3/2;+inf).

inf - бесконечность.
4,5(58 оценок)
Это интересно:
Новые ответы от MOGZ: Математика
logo
Вход Регистрация
Что ты хочешь узнать?
Спроси Mozg
Открыть лучший ответ