М
Молодежь
К
Компьютеры-и-электроника
Д
Дом-и-сад
С
Стиль-и-уход-за-собой
П
Праздники-и-традиции
Т
Транспорт
П
Путешествия
С
Семейная-жизнь
Ф
Философия-и-религия
Б
Без категории
М
Мир-работы
Х
Хобби-и-рукоделие
И
Искусство-и-развлечения
В
Взаимоотношения
З
Здоровье
К
Кулинария-и-гостеприимство
Ф
Финансы-и-бизнес
П
Питомцы-и-животные
О
Образование
О
Образование-и-коммуникации
lizaveta19961
lizaveta19961
15.05.2021 03:09 •  Математика

Логарифмические уравнения.


Логарифмические уравнения.

👇
Ответ:
радмир140
радмир140
15.05.2021

1) 0,5+0,5*sqrt(33)

2)х=3

Пошаговое объяснение:

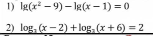
1) Эквивалентно (с точностью до ОДЗ)

(х^2-9)/(x-1)=1

x^2-9=x-1

x^2-x-8=0

(x-0,5)^2=8,25

x=0,5+0,5*sqrt(33)

второй корень меньше 0 и не подходит по ОДЗ

2)Эквивалентно (с точностью до ОДЗ)

(х-2)*(х+6)=3^2

x^2+4x-12=9

(x+2)^2=5^2

x1=3 x2=-7

По ОДЗ подходит только один корень х=3

4,4(97 оценок)
Ответ:
azizovabina
azizovabina
15.05.2021
Решение логарифмических уравнений
Логарифмические уравнения.
4,7(69 оценок)
Открыть все ответы
Ответ:
sashazen03
sashazen03
15.05.2021
Доброго дня, людино! Пише вам Лис, жетель лісу, в надії ,що ви почуєте мене .
Вже не перший рік, наш величний ліс служить нам домівкою, і не одне покоління тварин, виросло тут.
Згадую, як любо було мені теплими сонячними ранками, ловити сонячних зайчиків.
Та прокинувшись, я вже не побачив тих любих дерев, що до неба гомоніли...
Понівичені лежали вони , вже не шелестіло їхнє листячко, і буйні смереки підкорились, тихо впавши додолу.
"-Ліс, мій любий, рідний ліс ти став порожнім...тебе скалічили."
Людини якщо читаєш ти цей лист, якщо шануєш рідну землю, схаменись!
P.s. Не руйнуй те ,що не ти створив.
4,4(1 оценок)
Ответ:
Ququki
Ququki
15.05.2021
Слайд 1Тема урока: «Наибольший общий делитель. Взаимно простые числа»Слайд 2Цель урока: упражнять в нахождении наибольшего общего делителя; проверить знания у учащихся и выявить пробелы; развивать логическое мышление учащихся.Слайд 3Шестерых я слуг имел, Все от них о мире знал: И вот как я их всех зову: Кто? Что? Как? Где? Когда? И Почему? Редьярд КиплингСлайд 4Диктант. а) Запишите все делители числа 28: б) Запишите все делители числа 42: в) Запишите все общие делители чисел 28 и 42: г) Какие числа называются взаимно простыми?Слайд 52.Блицопрос. 1) Найдите наибольший общий делитель чисел: 6 и 9; 14 и 7; 16 и 24; 12 и 60.Слайд 62) Являются ли взаимно простыми числа: ответ давать словами «да», «нет». 12 и 15; 12 и 144; 14 и 21; 12 и 33; 10 и 39?Слайд 7ответы: 1) а) 2, 4, 7, 14, 28. б) 2, 3, 6, 7, 14, 21, 42. в) 2, 7, 14. г) НОД (а;б) = 1 2) 3, 7, 8, 12. Нет, нет, нет, да, да.Слайд 8151 ответ: 1/12, 5/12, 7/12, 11/12.Слайд 9Самостоятельная работа: 1 вариант. 1. Найдите наибольший общий делитель чисел 7425 и 12375. 2. Запишите два простых числа у, которые удовлетворяют неравенству 17 < у < 24. 3. Докажите, что 209 и 171 не взаимно простые. 2 вариант. 1.Найдите наибольший общий делитель чисел 1456 и 1560. 2. Запишите два простых числа у, которые удовлетворяют неравенству 19 < у < 30. 3. Докажите, что 299 и 184 не взаимно простые.Слайд 10Домашнее задание: 170(г), 171, 172. ( слайд) желаю удачи!
4,6(58 оценок)
Это интересно:
Новые ответы от MOGZ: Математика
logo
Вход Регистрация
Что ты хочешь узнать?
Спроси Mozg
Открыть лучший ответ