М
Молодежь
К
Компьютеры-и-электроника
Д
Дом-и-сад
С
Стиль-и-уход-за-собой
П
Праздники-и-традиции
Т
Транспорт
П
Путешествия
С
Семейная-жизнь
Ф
Философия-и-религия
Б
Без категории
М
Мир-работы
Х
Хобби-и-рукоделие
И
Искусство-и-развлечения
В
Взаимоотношения
З
Здоровье
К
Кулинария-и-гостеприимство
Ф
Финансы-и-бизнес
П
Питомцы-и-животные
О
Образование
О
Образование-и-коммуникации
filimonovajulia1
filimonovajulia1
14.01.2022 09:29 •  Математика

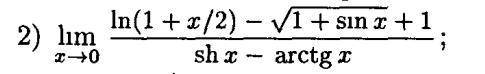
МАТЕМАТИЧЕСКИЙ АНАЛИЗ! Здравствуйте найти предел с формул Маклорена( с подробным решением)


МАТЕМАТИЧЕСКИЙ АНАЛИЗ! Здравствуйте найти предел с формул Маклорена( с подробным решением)

👇
Ответ:
sofiavasulyuk
sofiavasulyuk
14.01.2022
какой класс скажите умоляю может смогу
4,8(45 оценок)
Открыть все ответы
Ответ:
егор23578584
егор23578584
14.01.2022
Функция определена и непрерывна на всей числовой прямой. Находим производную и решаем уравнение f'(x)=0
f'(x)=(1,5x²-30x+48lnx+4)'=3x-30+(48/x)=0
3x²-30x+48=0 |:3
x²-10x+16=0
D=(-10)²-4*16=100-64=36
x=(10-6)/2=2       x=(10+6)/2=8
Нашли критические точки.
Отложим на числовой прямой найденные критические точки и определим знак производной на интервалах
             +                         -                          +
(2)(8)
При переходе через точку х=2 производная меняет знак с "+" на "-" следовательно в этой точке функция достигает максимума, а при переходе через точку х=8 с "-" на "+" значит в этой точке функция достигает минимума. 
4,6(27 оценок)
Ответ:
Jimitapark8
Jimitapark8
14.01.2022
Всего вариантов 6*6 = 36 для всех пунктов задания
а) благоприятные варианты (1,1), (1,2), (1,3), (1,4), (1,5), (1,6), (2,1), (2,2), (2,3), (2,4), (2,5),(2,6),(3,1), (3,2), (3,3), (3,4),(3,5),(3,6),(4,1), (4,2),(4,3),(4,4),(4,5),(5,1),(5,2),(5,3),(5,4),(6,1),(6,2),(6,3) Итого 30 вариантов. Р=30/36=5/6
б) благоприятные варианты (1,1), (1,2), (1,3), (1,4), (1,5), (1,6), (2,1), (2,2), (2,3), (2,4), (3,1), (3,2),(3,3),(4,1), (4,2),(5,1),(6,1) Итого 17 вариантов Р=17/36
в) благоприятные варианты (3,3),(3,6),(6,3),(6,6) Итого 4 варианта Р=4/36=1/9
4,8(30 оценок)
Это интересно:
Новые ответы от MOGZ: Математика
logo
Вход Регистрация
Что ты хочешь узнать?
Спроси Mozg
Открыть лучший ответ