


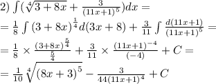
![2)\int\limits( \sqrt[4]{3 + 8x} + \frac{3}{ {(11x + 1)}^{5} } )dx = \\ = \frac{1}{8} \int\limits {(3 + 8x)}^{ \frac{1}{4} } d(3x + 8) + \frac{3}{11} \int\limits \frac{d(11x + 1)}{ {(11x + 1)}^{5} } = \\ = \frac{1}{8} \times \frac{ {(3 + 8x)}^{ \frac{5}{4} } }{ \frac{5}{4} } + \frac{3}{11} \times \frac{ {(11x + 1)}^{ - 4} }{( - 4)} + C = \\ = \frac{1}{10} \sqrt[4]{ {(8x + 3)}^{5} } - \frac{3}{44 {(11x + 1)}^{4} } + C](/tpl/images/1566/4141/fa6ba.png)
на прямую пропорциональность:
1) при равномерном движении поезд за 4 секунды прошел 120 метров. сколько метров проедет поезд за 20 секунд?
решение: 1) 20 : 4 = 5 (раз) во столько раз больше времени, значит и расстояние проедет в 5 раз больше.
2) 120 * 5 = 600 (м) - проедет поезд за 20 минут.
2) при равномерном движении поезд за 4 секунды прошел 120 метров. сколько времени понадобиться ему, чтобы пройти расстояние 1км 200 м?
решение: 1) 1200 : 120 = 10 (раз) - во столько раз больше нужно пройти, следовательно времени потребуется также в 10 раз больше.
2) 4 * 10 = 40 (с) - потребуется на прохождение 1км 200 м.
на обратно пропорциональную зависимость:
1) поезд прошел участок пути со скоростью 75 км/ч за 4 часа. за сколько часов поезд пройдет этот же участок пути, если будет двигаться со скоростью 100 км/ч?
решение: 1) 75 * 4 = 300 (км) - путь, пройденный за 4 часа. так как скорость увеличивается, то времени на прохождение того же участка пути понадобиться меньше.
2) 300 : 100 = 3 (часа) - время, необходимое на этот путь при скорости 100 км/ч.
2) закупили 6 метров ткани по 50 рублей. сколько ткани можно купить на эту же сумму по цене 75 рублей?
решение: 1) 50 *6 = 300 (р) - стоимость покупки; с увеличением цены, количество купленной ткани уменьшается.
2) 300 : 75 = 4 (м) - ткани можно купить по цене 75 рублей.