М
Молодежь
К
Компьютеры-и-электроника
Д
Дом-и-сад
С
Стиль-и-уход-за-собой
П
Праздники-и-традиции
Т
Транспорт
П
Путешествия
С
Семейная-жизнь
Ф
Философия-и-религия
Б
Без категории
М
Мир-работы
Х
Хобби-и-рукоделие
И
Искусство-и-развлечения
В
Взаимоотношения
З
Здоровье
К
Кулинария-и-гостеприимство
Ф
Финансы-и-бизнес
П
Питомцы-и-животные
О
Образование
О
Образование-и-коммуникации
nastia311
nastia311
28.10.2020 17:55 •  Математика

3.Решить уровнение: x : 2/3=3 3/8:3
Варианты ответов:1) 1 1/8 2) 1 1/3 3) 6 3/4 4) 3/4

👇
Ответ:
Misaki59
Misaki59
28.10.2020

4) 3/4

Пошаговое объяснение:

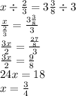
x \div \frac{2}{3 } = 3 \frac{3}{8} \div 3 \\ \frac{x}{ \frac{2}{3} } = \frac{3 \frac{3}{8} }{3} \\ \frac{3x}{2} = \frac{ \frac{27}{8} }{3} \\ \frac{3x}{2} = \frac{9}{8} \\ 24x = 18 \\ x = \frac{3}{4}

4,6(2 оценок)
Ответ:
mamikon777
mamikon777
28.10.2020

ку даня

Пошаговое объяснение:

гы гы гы гы гы

4,5(6 оценок)
Открыть все ответы
Ответ:
eminimanov198
eminimanov198
28.10.2020
"малых голландцев" же малыми назвали не за меньшее их художественное значение по сравнению с рембрандтом и халсом. дидро, который ввел этот термин, подразумевал интерес этих художников к "малым" темам из повседневной, бытовой жизни в противоположность художникам "большого" стиля, писавшим картины на "высокие" и мифологические сюжеты, а также небольшой размер картин.  малые голландцы   - традиционное название обширного круга голландских (нидерланды) живописцев xvii в.; возникло в связи с камерным характером их творчества, небольшим размером их картин (пейзаж, интерьер, бытовые сюжеты). для живописи малых голландцев характерны тонкость письма, выразительность небольших деталей, красота световых и колористических нюансов, общее ощущение уюта, близости и единения персонажей в пейзажной или интерьерной среде. среди наиболее ярких представителей - я. вермер, братья остаде, г. терборх, я. стен, г. метсю.
4,7(6 оценок)
Ответ:
Юлька9062804
Юлька9062804
28.10.2020
"малых голландцев" же малыми назвали не за меньшее их художественное значение по сравнению с рембрандтом и халсом. дидро, который ввел этот термин, подразумевал интерес этих художников к "малым" темам из повседневной, бытовой жизни в противоположность художникам "большого" стиля, писавшим картины на "высокие" и мифологические сюжеты, а также небольшой размер картин.  малые голландцы   - традиционное название обширного круга голландских (нидерланды) живописцев xvii в.; возникло в связи с камерным характером их творчества, небольшим размером их картин (пейзаж, интерьер, бытовые сюжеты). для живописи малых голландцев характерны тонкость письма, выразительность небольших деталей, красота световых и колористических нюансов, общее ощущение уюта, близости и единения персонажей в пейзажной или интерьерной среде. среди наиболее ярких представителей - я. вермер, братья остаде, г. терборх, я. стен, г. метсю.
4,4(11 оценок)
Это интересно:
Новые ответы от MOGZ: Математика
logo
Вход Регистрация
Что ты хочешь узнать?
Спроси Mozg
Открыть лучший ответ