М
Молодежь
К
Компьютеры-и-электроника
Д
Дом-и-сад
С
Стиль-и-уход-за-собой
П
Праздники-и-традиции
Т
Транспорт
П
Путешествия
С
Семейная-жизнь
Ф
Философия-и-религия
Б
Без категории
М
Мир-работы
Х
Хобби-и-рукоделие
И
Искусство-и-развлечения
В
Взаимоотношения
З
Здоровье
К
Кулинария-и-гостеприимство
Ф
Финансы-и-бизнес
П
Питомцы-и-животные
О
Образование
О
Образование-и-коммуникации
OlaCoch
OlaCoch
02.02.2021 19:37 •  Математика

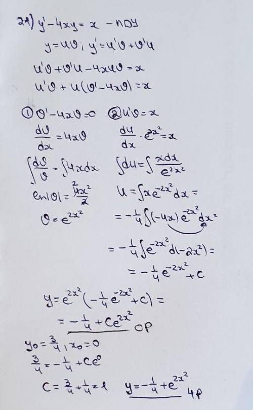
Решите решение дефернциальных уравненией первого порядка


Решите решение дефернциальных уравненией первого порядка

👇
Ответ:
Bellatrisa
Bellatrisa
02.02.2021

решение на фотографии


Решите решение дефернциальных уравненией первого порядка
4,7(27 оценок)
Открыть все ответы
Ответ:
YuliyaSchool
YuliyaSchool
02.02.2021
Пусть а - число правильных ответов, с - число неправильных ответов. Тогда число вопросов, на которые ответы даны не были - 25-а-с
5*а-9*с=40
с у нас больше либо равно 1, тогда делаем методом подстановки, не забывая, что а - обязательно целое число.
с=1
5а-9=40, 5а=49, а - число не целое, значит, не подходит.
с=2
5а-18=40, 5а=58, а - число не целое, значит, не подходит.
с=3
5а-27=40, 5а=67, а - число не целое, значит, не подходит.
с=4
5а-36=40, 5а=76, а - число не целое, значит, не подходит.
с=5
5а-45=40, 5а=85, откуда а =17.
ответ: 17.
4,8(91 оценок)
Ответ:
TaisiyaDream
TaisiyaDream
02.02.2021
Найдём 2\5 от 780, это 780*2\5=312.
Чтобы найти проценты, надо (312\780)*100=40%
ответ: 312 деревьев, 40 процентов.
 Придуманные задачи:
1) Маша решила приготовить 800 коржиков, но пока приготовила только 1\4 от них. Сколько это коржиков? Сколько это процентов?
Решение: 800*1\4=200 коржиков, 200\800*100=25 процентов

2) Дети лепили фигурки из пластилина на выставку. Нужно было 500 поделок, но за один день дети сделали только 1\2 всех поделок. Сколько поделок сделали дети? Сколько это процентов?
Решение: 500*1\2=250 поделок, 250\500*100=50 процентов.
4,5(54 оценок)
Новые ответы от MOGZ: Математика
logo
Вход Регистрация
Что ты хочешь узнать?
Спроси Mozg
Открыть лучший ответ