М
Молодежь
К
Компьютеры-и-электроника
Д
Дом-и-сад
С
Стиль-и-уход-за-собой
П
Праздники-и-традиции
Т
Транспорт
П
Путешествия
С
Семейная-жизнь
Ф
Философия-и-религия
Б
Без категории
М
Мир-работы
Х
Хобби-и-рукоделие
И
Искусство-и-развлечения
В
Взаимоотношения
З
Здоровье
К
Кулинария-и-гостеприимство
Ф
Финансы-и-бизнес
П
Питомцы-и-животные
О
Образование
О
Образование-и-коммуникации
kariiinka
kariiinka
05.07.2021 16:36 •  Математика

Разность двух чисел равна 5-и произведение 24-м найди эти числа.​

👇
Ответ:
Карина2209
Карина2209
05.07.2021

~На двух фото~

~RayMiller~


Разность двух чисел равна 5-и произведение 24-м найди эти числа.​
Разность двух чисел равна 5-и произведение 24-м найди эти числа.​
4,8(74 оценок)
Ответ:
вика2832
вика2832
05.07.2021

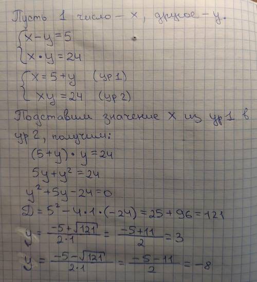
Пошаговое объяснение:

Х-у=5 х=5+у

Х×у=24

(5+у)у=24

5у+у^2=24

У^2+5у-24=0

D=25-4×1×(-24)=25+96=121

У1= - 5+11/2= 3

У2= - 5-11/2= - 8

Х1=5+3=8

Х2=5+(-8)= - 3

Х1=8 ;у1=3

Х2= - 3 ;у2= - 8

4,8(54 оценок)
Открыть все ответы
Ответ:
ntaskaeva2
ntaskaeva2
05.07.2021
Без использования уравнения - рассуждением. 
Сумма  денег в купюрах по 500 руб должна быть кратна 500.
Это может быть одна купюра, тогда на долю купюр по 100 руб останется 23 штуки, т.е 2300 рублей.  Не подходит условию. 
Так же не соответствует условию, когда две купюры и три купюры по 500 руб.
4 купюры по 500 руб составят сумму 2000 руб. Тогда на долю 100-рублевых купюр останется 2000 руб. , и это будет 20 купюр. 
ответ:4 купюры по 500 руб. 

Но проще, конечно, решать алгебраическим
Пусть купюр по 500 руб было х, тогда по 100 руб 24-х
всего денег 
500*х+2400 -100х=4000
400х=1600
х=4. 
4,5(39 оценок)
Ответ:
peterDIYanov
peterDIYanov
05.07.2021

1)1час=60минут

6минут в 10 раз меньше часа(60:6=10)

значит велосипедист проедет в 10 раз меньше чем за час 200*60=12000м или 12 км

12000:10=1200м

2)1км400м=1400м

1400:200=7минут

за 7 минут велосипедист проедет 1км400м

3)до деревни 36км или 36000м

за 6 мин велосипедист приблизится на 1200м (мы знаем об этом из задачи№1)

36000-1200=34800м

4)30минут это в два раза меньше часа(60:30=2)

за час велосипедист проезжает 12000 м значит за 30 мин. в два раза меньше

12000:2=6000м

5)общее расстояние36000м

на середине это пол пути тоесть в 2 раза меньше

36000:2=18000м

18000:12000=1,5часов

за 1,5 часов велосипедист проедет пол пути

6)36000:12000=3часа

за три часа велосипедист проедет весь путь

7)1час=60минут

200*60=12000м

 или 12 км

за час велосипедист проедет 12 км

Удачи!

отметь как лучшее

4,4(63 оценок)
Это интересно:
Новые ответы от MOGZ: Математика
logo
Вход Регистрация
Что ты хочешь узнать?
Спроси Mozg
Открыть лучший ответ