


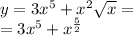
2 * x ^ 2 - 5 * x - 7 = 0
Найдем дискриминант квадратного уравнения:
D = b ^ 2 - 4ac = ( - 5 ) ^ 2 - 4 · 2 · ( - 7 ) = 25 + 56 = 81
Так как дискриминант больше нуля то, квадратное уравнение имеет два действительных корня:
x1 = ( 5 - √ 81 ) / ( 2 · 2 ) = ( 5 - 9 ) / 4 = - 4 / 4 = -1
x2 = ( 5 + √ 81 ) / ( 2 · 2 ) = ( 5 + 9 ) / 4 = 14 / 4 = 7 / 2 = 3 . 5
Проверка:
при х = - 1 , тогда
2 * ( - 1 ) ^ 2 - 5 * ( - 1 ) - 7 = 0
2 * 1 + 5 * 1 - 7 = 0
2 + 5 - 7 = 0
7 - 7 = 0
верно
при х = 7 / 2, тогда
2 * ( 7 / 2 ) ^ 2 - 5 * 7 / 2 - 7 = 0
2 * 49 / 4 - 35 / 2 - 7 = 0
( 98 - 70 ) / 4 - 7 = 0
28 / 4 - 7 =0
7 - 7 = 0
верно
ответ: х = - 1
х = 7 / 2
Пошаговое объяснение:
/ это дробь в ответе наверное
В конце первого года вклад составит 11 млн рублей, а в конце второго — 12,1 млн рублей. В начале третьего года вклад (в млн рублей) составит 12,1 + х, а в конце — 13,31 + 1,1х. В начале четвёртого года вклад составит 13,31 + 2,1х, а в конце — 14,641 + 2,31х.
Нам необходимо найти наименьшее целое х, для которого только начисления банка составят 7 млн рублей, то для него должно быть выполнено неравенство

Наименьшее целое решение этого неравенства — число 8.
ответ: 8.