М
Молодежь
К
Компьютеры-и-электроника
Д
Дом-и-сад
С
Стиль-и-уход-за-собой
П
Праздники-и-традиции
Т
Транспорт
П
Путешествия
С
Семейная-жизнь
Ф
Философия-и-религия
Б
Без категории
М
Мир-работы
Х
Хобби-и-рукоделие
И
Искусство-и-развлечения
В
Взаимоотношения
З
Здоровье
К
Кулинария-и-гостеприимство
Ф
Финансы-и-бизнес
П
Питомцы-и-животные
О
Образование
О
Образование-и-коммуникации
ruslanka1000
ruslanka1000
20.08.2020 06:48 •  Математика

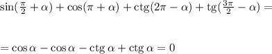
Спростити tg (a-2п) +ctg ( 3п/2 -a) - sin (п-a)- cos (a+п/2)

👇
Ответ:
Atedoz
Atedoz
20.08.2020

\displaystyle tg(a-2\pi )+ctg(\frac{3\pi }{2} -a)-sin(\pi -a)-cos(a+\frac{\pi }{2}) = -tg(2\pi -a)+tg(a)-sin(a)+sin(a)=tg(a)+tg(a) = 2tg(a)


Спростити tg (a-2п) +ctg ( 3п/2 -a) - sin (п-a)- cos (a+п/2)
4,6(43 оценок)
Ответ:
burkhanovshukh
burkhanovshukh
20.08.2020

По формулам приведения.

4,5(65 оценок)
Открыть все ответы
Ответ:
25182830
25182830
20.08.2020
Увершы «маладыя » максім багдановіч апаэтызаваў і ўславіў маладосць – самую прыгожую, самую радасную пару чалавечага жыцця, час светлых надзей і жаданняў. рамантычны вобраз маладосці, незабыўных дзён чалавечай вясны, юнацкіх мар і парыванняў да высокага, прыгожага, ідэальнага з’яўляецца ідэйна-эмацыянальным асяродкам верша. лірычнае перажыванне перадаецца як успамін аб красе перажытага. юнацтва беззваротна прайшло, але ў душы лірычнага героя назаўсёды засталося самае дарагое, самае запаветнае, што ніколі не забываецца, – памяць аб шчасці кахання, аб першых сустрэчах, аб сіле і прыгажосці чалавечага пачуцця. галоўная паэтычная думка верша – сцвярджэнне шчасця чалавека быць вечна маладым, любіць і захапляцца красой гэтага чароўнага пачуцця – выказана ў апошняй, заключнай страфе, якая гучыць як гімн маладосці.
4,6(60 оценок)
Ответ:
ladykyzya2017
ladykyzya2017
20.08.2020
Тополя — один з улюблених образів української народної творчості. він є символом краси і кохання. звичай вшановувати дерева, в тому числі й тополю, зберігся до нашого часу в обряді зелених свят, коли дівчата водили «тополю» або «вільху». прикрашаючи хати й подвір’я, дівчата з піснями водили по селу прибрану зеленню дівчинку — «тополю».  тополя використовується і в господарстві як будівельний матеріал. м’яка деревина тополі йшла на виготовлення човнів. із цього дерева отримували жовту фарбу, а кора тополі використовувалася при вичинці.
4,4(21 оценок)
Это интересно:
Новые ответы от MOGZ: Математика
logo
Вход Регистрация
Что ты хочешь узнать?
Спроси Mozg
Открыть лучший ответ