М
Молодежь
К
Компьютеры-и-электроника
Д
Дом-и-сад
С
Стиль-и-уход-за-собой
П
Праздники-и-традиции
Т
Транспорт
П
Путешествия
С
Семейная-жизнь
Ф
Философия-и-религия
Б
Без категории
М
Мир-работы
Х
Хобби-и-рукоделие
И
Искусство-и-развлечения
В
Взаимоотношения
З
Здоровье
К
Кулинария-и-гостеприимство
Ф
Финансы-и-бизнес
П
Питомцы-и-животные
О
Образование
О
Образование-и-коммуникации
Nikitka76rus
Nikitka76rus
18.05.2020 17:02 •  Математика

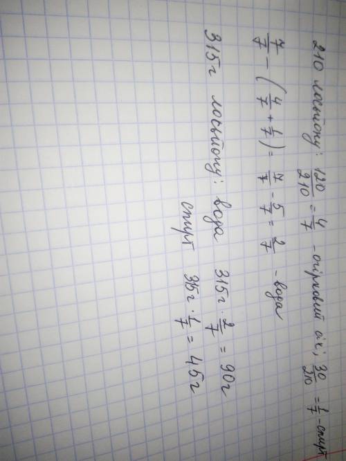
У 210 г лосьйону є 120 г огіркового соку ,30г спирту й води. Скільки грамів спирту й води міститься у 315 г такого самого лосьйону?​

👇
Ответ:
DanilaButov
DanilaButov
18.05.2020

210 - (120 + 30) = 210 - 150 = 60 г - вода

огуречный сок : спирт : вода = 120 : 30 : 60 = 4 : 1 : 2 - отношение частей

Пусть х - коэффициент пропорциональности, тогда 4х - огуречный сок, 1х - спирт, 2х - вода. Всего 315 г. Уравнение:

4х + х + 2х = 315

7х = 315

х = 315 : 7

х = 45

4х = 4 · 45 = 180 г - огуречный сок

1х = 1 · 45 = 45 г - спирт

2х = 2 · 45 = 90 г - вода

ответ: 45 г спирта и 90 г воды.


У 210 г лосьйону є 120 г огіркового соку ,30г спирту й води. Скільки грамів спирту й води міститься
4,5(64 оценок)
Открыть все ответы
Ответ:
afa2004
afa2004
18.05.2020
Ein Alltag zu Hause
1.Ich bin nicht immer  den ganzen Tag zu Hause.
2.Ich bin Schüler(in) und gehe 5 Mal in der Woche in die Schule.
3.Das Wochenende verbringe ich oft zu Hause.
4.Ich habe immer viel zu tun.
5.Am Samstag möchte ich ausschlafen.
6.Dann stehe ich auf und gehe ins Badezimmer.
7.Ich früstücke etwa um 10 Uhr.
8.Ich räume auch mein Zimmer auf.
9.Vormittag mache ich gewöhnlich meine Hausaufgaben.
10.Danach esse ich zu Mittag.
11.Endlich habe ich die Freizei für mich.
12.Ich surfe im Internet oder telefoniere per Skype.
13.Später kann ich noch mit Freunden spazieren gehen oder Rad fahren.
14.Abends sehe ich fern oder lese elektronisches Buch.
15.So vergeht mein Alltag.
4,8(55 оценок)
Ответ:
Johhn1
Johhn1
18.05.2020
V1 - скорость ракеты типа А V2 - скорость ракеты типа B (Скорость в метрах в секунду) при этом V1=V2 + 500
а t - время за которое пролетает 45 км вторая ракета
 уравнение преодоления расстояния обоими ракетами
V2*t =(V2+500)(t-1) = 45000
500t-V2-500=0
V2=500(t-1)
Подставим 
500(t-1)*t=45000
t^2-t-90=0
t=10 секунд
то есть ракета типа B пролетит 45 км за 10 секунд следовательно ее скорость 4500 м в секунду, из этого имеем что скорость ракеты типа В будет 5 км в секунду
Поделим 9000 км на 5 км/c и получим что ракета типа А пролетит расстояние в 9000 км за 1800 секунд что равно 30 минутам!
ответ за 30 минут
4,5(30 оценок)
Это интересно:
Новые ответы от MOGZ: Математика
logo
Вход Регистрация
Что ты хочешь узнать?
Спроси Mozg
Открыть лучший ответ