
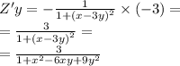
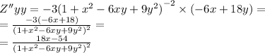
ответ:17/3=5 2/3
64/9=7 1/9
16/5=3 1/5
12/10=1 2/10=1 1/5
99/30=3 9/30=3 3/10
26/3=8 2/3
99/14=7 1/14
13/3=4 1/3
12/5=2 2/5
63/10=6 3/10
76/5=15 1/5
55/2=27 1/2
123/23=5 8/23
17/11=1 6/11
156/14=11 2/14=11 1/7
10/3=3 1/3
224/22=10 4/22=19 2/11
123/4=30 3/4
73/9=8 1/9
33/15=2 3/15=2 1/5
72/21=3 9/21=3 3/7
55/3=18 1/3
77/25=3 2/25
91/3=30 1/3
11/4=2 3/4
34/9=3 7/9
42/15=2 12/15=2 4/5
67/15= 4 7/15
95/11=8 7/11
95/41=2 13/41
265/13=20 5/13
80/3=26 2/3
54/12=4 6/12=4 1/2
63/4=15 3/4
44/3=14 2/3
64/20=3 4/20=3 1/5
41/20=2 1/20
Пошаговое объяснение:
Пошаговое объяснение:
1) 21 ч 15 мин + 6 ч 49 мин - 1 сут = 4 часа 4 мин
1 час = 60 мин
1 сут = 24 часа
переведем все в минуты
21 ч 15 мин = (21*60 )+15=1275 мин.
6 ч 49 мин= ( 6 * 60)+49= 409 мин
1 сут. = 24 *60= 1440 мин
1275 мин + 409 мин - 1440 мин = 244 мин = 244 : 60 = 4 часа 4 мин.
2) 90 т -10 т 9 ц -47 т 15 кг=53 т 8 ц 85 кг
1 т = 1000 кг
1 ц = 100 кг
90 т = 90*1000=90000 кг
10 т 9 ц = (10*1000)+ (9*100)= 10000+900=10900 кг
47 т 15 кг = ( 47*1000)+15=47000+15=47015 кг
90000 кг+10900 кг - 47015 кг=100900 кг - 47015 кг=53885 кг= (53000+800+85 ) кг= (53000 : 1000) т+(800:100) ц+85 кг = 53 т 8 ц 85 кг
выполняется равенство