М
Молодежь
К
Компьютеры-и-электроника
Д
Дом-и-сад
С
Стиль-и-уход-за-собой
П
Праздники-и-традиции
Т
Транспорт
П
Путешествия
С
Семейная-жизнь
Ф
Философия-и-религия
Б
Без категории
М
Мир-работы
Х
Хобби-и-рукоделие
И
Искусство-и-развлечения
В
Взаимоотношения
З
Здоровье
К
Кулинария-и-гостеприимство
Ф
Финансы-и-бизнес
П
Питомцы-и-животные
О
Образование
О
Образование-и-коммуникации
jokjok1337
jokjok1337
02.08.2020 04:06 •  Математика

Матеша завтра у меня к/р
Решить уровнение​


Матеша завтра у меня к/рРешить уровнение​

👇
Ответ:
сакура63
сакура63
02.08.2020

.....................................................


Матеша завтра у меня к/рРешить уровнение​
4,4(10 оценок)
Ответ:
lara1906
lara1906
02.08.2020

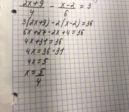
ответ:1,25

Пошаговое объяснение:

Домножаем обе части на 12 получаем

3(2х+9)-2(х-2)=36

Раскрываем скобки и приводим подобные

6х+27-2х+4=36

4х=5

Х=1,25

ответ 1,25

4,4(63 оценок)
Открыть все ответы
Ответ:
Обозначим вершины треугольника АВС, основание высоты - Н. 
Длина окружности =2 π r
2 п r=50 π 
Коротко запись задачи выглядит так:
r=50п:2п=25
32-25=7
Р= 2√(25²-7²)+2√(32²+24²)=128см
Подробно: 
Высота равнобедренного треугольника - срединный перпендикуляр. 
Центр описанной окружности треугольника лежит на пересечении срединных перпендикуляров. Так как радиус меньше высоты треугольника, центр лежит на этой высоте. Обозначим центр О.
Расстояние от вершины треугольника В до центра окружности О равно R
Расстояние ОН от центра окружности до середины основания треугольника АВС
32-25=7 см
Соединим центр О с вершиной угла основания. Получим треугольник АОН.
АО= радиусу и равна 25 см 
Найдем половину основания по формуле Пифагора из треугольника АОН
АН=√(25²-7²)=24 см
Основание треугольникаАС равно 2*24=48см
Из треугольника АВН найдем боковую сторону треугольника АВ
АВ=√(32²+24²)=40смВС=АВ=40 см
Периметр Δ АВС
Р=2·40+48=128 см
4,7(99 оценок)
Ответ:
kamilapark1
kamilapark1
02.08.2020
Составим краткую запись

к моменту когда выехал третий велосипедист

1 велосипедист:  скорость 18 км/час - за 2 часа проехал 36 км
2 велосипедист: скорость 16 км/час- за 1 час проехал 16 км
3 велосипедист: скорость х км/час -выехал

найдем время когда третий догонит второго:
(х-16)- скорость сближения
16/(х-16)= t время встречи 

найдем время когда 3 догонит первого
(х-18)- скорость сближения
36/(х-18)= время встречи и оно t+4

имеем систему:
\left \{ {{ \frac{16}{x-16} =t} \atop { \frac{36}{(x-18)}=t+4}} \right.

решим второе уравнение с подстановкой из первого:

\frac{36}{x-18}=t+4

36=(t+4)(x-18)

36= (\frac{16}{x-16}+4)(x-18)

36(x-16)=4(x-12)(x-18)

9x-144=x^2-30x+216

x^2-39x+360=0

D=1521-1440=81=9^2

x_1=(39+9)/2=24

x_2=(39-9)/2=15


Очевидно что скорость 15 км/час нам не подходит, т.к. скорость должна быть больше скоростей первых велосипедистов

ответ х= 24 км/ час

*****************************************
Проверим:

Время встречи со вторым велосипедистом:
16/(24-16)=2 часа

время встречи в первым велосипедистом:

36/(24-18)=6 часов

Разница во времени 4 часа
4,8(79 оценок)
Новые ответы от MOGZ: Математика
logo
Вход Регистрация
Что ты хочешь узнать?
Спроси Mozg
Открыть лучший ответ