М
Молодежь
К
Компьютеры-и-электроника
Д
Дом-и-сад
С
Стиль-и-уход-за-собой
П
Праздники-и-традиции
Т
Транспорт
П
Путешествия
С
Семейная-жизнь
Ф
Философия-и-религия
Б
Без категории
М
Мир-работы
Х
Хобби-и-рукоделие
И
Искусство-и-развлечения
В
Взаимоотношения
З
Здоровье
К
Кулинария-и-гостеприимство
Ф
Финансы-и-бизнес
П
Питомцы-и-животные
О
Образование
О
Образование-и-коммуникации
justsgamer2000Kerzch
justsgamer2000Kerzch
30.07.2021 03:27 •  Математика

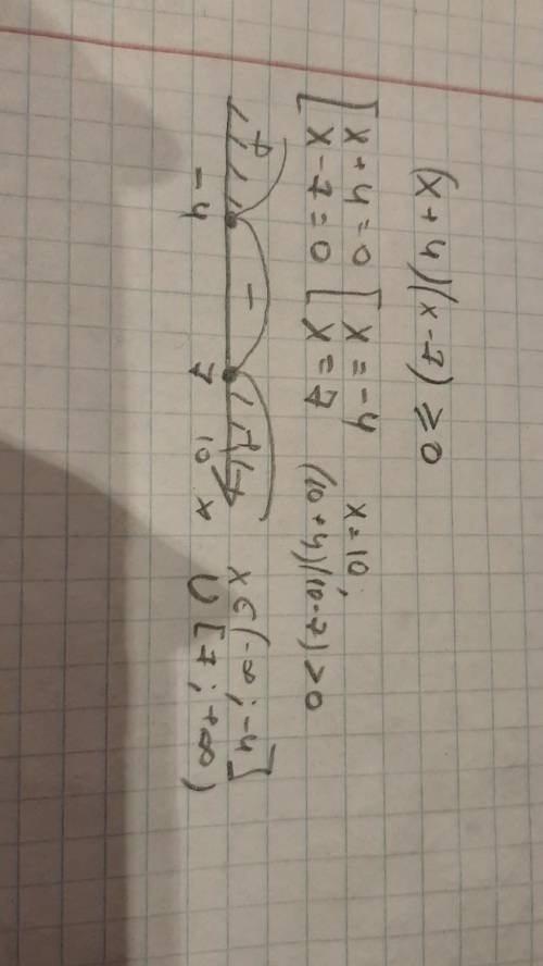
( x + 4 ) • ( x - 7 ) ≥ 0​

👇
Ответ:
dĵdjdkdkdkdkdk
dĵdjdkdkdkdkdk
30.07.2021

я хз, как вы решаете неравенство, но в лицее меня учили так


( x + 4 ) • ( x - 7 ) ≥ 0​
4,7(50 оценок)
Открыть все ответы
Ответ:
Masha1211111111
Masha1211111111
30.07.2021

тургенев иван сергеевич 

        (28.10.1818- 22.08.1883) 

        прозаик, поэт, драматург, критик, публицист, мемуарист, переводчик. родился в семье сергея николаевича и варвары петровны тургеневых. отец, отставной кавалерийский офицер, происходил из старинного дворянского рода, мать – из малородовитой, но богатой помещичьей семьи лутовиновых. детство тургенева прошло в родительском имении спасском-лутовинове, близ г. мценска орловской губернии; первым его учителем был крепостной секретарь его матери федор лобанов. в 1827 г. тургенев переехал с семьей в москву, где продолжил свое образование в частных пансионах, затем под руководством московских педагогов погорельского, дубенского и клюшникова, позднее известного поэта. к 14 тургенев свободно говорил на трех иностранных языках и успел познакомиться с лучшими произведениями европейской и . в 1833 г. он поступил в московский университет, а в 1834 г. перевелся в петербургский, где окончил в 1837 г. словесное отделение философского факультета. 

        в студенческие годы тургенев начал писать. его первыми поэтическими опытами были переводы, небольшие поэмы, лирические стихотворения и драма «стено» (1834), написанные в модном тогда романтическом духе. среди университетских профессоров тургенева выделялся плетнев, один из близких друзей пушкина, «наставник старого века… не ученый, но по-своему – мудрый». познакомившись с первыми произведениями тургенева, плетнев объяснил юному студенту их незрелость, но выделил и напечатал 2 наиболее удачных стихотворения, побуждая ученика продолжить занятия . 

4,4(36 оценок)
Ответ:
Natashazzz
Natashazzz
30.07.2021


хватит плодить задачи), я уже писал что эта задача не имеет в ответах нужногорешения:

1. если считать показание часов 12:10:10 как 3 цифры то кол-во показаний с суммой цифр равной 37 будет явно больше 16-ти, например:

все показания от 01:01:35 до 01:35:01, где секунды увеличиваются на 1 а минуты уменьшаются на 1, итого их уже 35 значений.

2. если показание часов 12:10:10 рассматривать как 6 цифр, то максимально возможная сумма будет у случая 23:59:59, и сумма тогда будет 2+3+5+9+5+9=33, а в ответах нуля нет.

решить задачу значит найти ответ или доказать что его нет. я решил задачу, доказав что ответа нет).

4,6(57 оценок)
Новые ответы от MOGZ: Математика
logo
Вход Регистрация
Что ты хочешь узнать?
Спроси Mozg
Открыть лучший ответ