М
Молодежь
К
Компьютеры-и-электроника
Д
Дом-и-сад
С
Стиль-и-уход-за-собой
П
Праздники-и-традиции
Т
Транспорт
П
Путешествия
С
Семейная-жизнь
Ф
Философия-и-религия
Б
Без категории
М
Мир-работы
Х
Хобби-и-рукоделие
И
Искусство-и-развлечения
В
Взаимоотношения
З
Здоровье
К
Кулинария-и-гостеприимство
Ф
Финансы-и-бизнес
П
Питомцы-и-животные
О
Образование
О
Образование-и-коммуникации

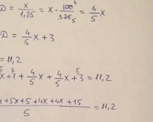
Ребусы и деление хз что с этим делать...


Ребусы и деление хз что с этим делать...
Ребусы и деление хз что с этим делать...

👇
Ответ:
720612
720612
30.11.2022

Ребусы и деление2.Бюджет косвенных общепроизводственных расходов

3.Бюджет закупок материальных ресурсов

4.Производственные затраты

5.Прямые материальные затраты

6.Прямые затраты на оплату труда

7.Общепроизводственные(косвенноые)расходы

8.расходы на содержание и эксплуатацию оборудования

9.общецеховые расходы на направлении

Пошаговое объяснение:

ответ с РЕШЕНИЕМ на фотографий вложила.Посмотрите посмотрите!Да надо же посмотрите!Ну же!


Ребусы и деление хз что с этим делать...
4,8(31 оценок)
Открыть все ответы
Ответ:
MITSUHA
MITSUHA
30.11.2022
Весь циферблат 360°, всего на часах 12 делений.
360:12=30° - угол равный 1 ч.
А) Чему равен угол между часовой и минутной стрелками, если часы показывают 1ч, 3ч, 4ч, 11ч 30 мин?
1 ч =30° - угол между часовой и минутной стрелкой в 1 ч.
3 ч=3*30=90° угол между часовой и минутной стрелкой в 3 ч
4 ч=4*30=120° угол между часовой и минутной стрелкой в 4 ч
11 ч 30 мин
30 мин - минутная стрелка находится на 6 ч, а часовая стрелка между 11 и 12, т.к 30 мин=1/2 ч. А значит 30⁰:2=15⁰. Между 12 ч и 6 ч угол 6*30=180°.
11 ч 30 мин=180°+15°=195° угол между часовой и минутной стрелкой в 11 ч 30 мин

б) На сколько градусов поворачивается минутная стрелка за 15 мин, 30 мин, 1ч? Часовая стрелка за 1ч, 30 мин, 10 мин?
В 1 ч=60 мин, а значит за 1 минуту стрелка поворачивается на 360:60=6°.
15 мин=6*15=90°
30 мин=30*15=180°
1 ч=360°
 30°+1/2*30°=45° пройдет часовая стрелка за 1 ч 30 мин
10 мин=6*10=60°

в) Представьте, что часы показывают 10 ч. На сколько градусов изменится величина угла между стрелками через 1 ч?
10*30°=300° - угол между часовой и минутной стрелкой.
360°-300°=60° - острый угол в 10 ч.
60-30=30° - т.к. за 1 ч стрелка пройдет 30° и угол уменьшится.
4,8(70 оценок)
Ответ:
kvaisberg
kvaisberg
30.11.2022
1 контролер 240 дет. / ч 
2 контроллер 240 +20 = 260 дет. / ч 
Общая производительность = 240 +260 = 500 дет. / ч 
Значит если производительность каждого контролера будет одинаковой то она составит 500/2 = 250 дет. / ч 
Соответствеено общее число деталей которые проверит каждый контроллер при одинаковой производительности составит 
250*8=2000 дет. 
ответ: при одинаковой производительности каждый контроллер за 8 часов работы сможет проверить 2000 деталей 
совместная производительность контроллеров составляет 500 деталей в час
4,5(52 оценок)
Новые ответы от MOGZ: Математика
Полный доступ к MOGZ
Живи умнее Безлимитный доступ к MOGZ Оформи подписку
logo
Вход Регистрация
Что ты хочешь узнать?
Спроси Mozg
Открыть лучший ответ