М
Молодежь
К
Компьютеры-и-электроника
Д
Дом-и-сад
С
Стиль-и-уход-за-собой
П
Праздники-и-традиции
Т
Транспорт
П
Путешествия
С
Семейная-жизнь
Ф
Философия-и-религия
Б
Без категории
М
Мир-работы
Х
Хобби-и-рукоделие
И
Искусство-и-развлечения
В
Взаимоотношения
З
Здоровье
К
Кулинария-и-гостеприимство
Ф
Финансы-и-бизнес
П
Питомцы-и-животные
О
Образование
О
Образование-и-коммуникации
FlowerBlue17
FlowerBlue17
30.03.2022 20:03 •  Математика

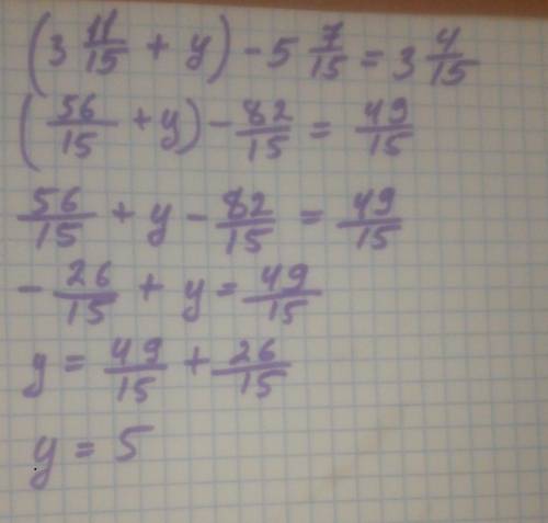
(3 11/15+у)-5 7/15=3 4/15.

👇
Ответ:
begem0tcs
begem0tcs
30.03.2022

Пошаговое объяснение:

вот решение на фото надеюсь


(3 11/15+у)-5 7/15=3 4/15.
4,8(73 оценок)
Открыть все ответы
Ответ:
pushkina82
pushkina82
30.03.2022
Решение:
Скорость сближения велосипедистов равна:
15-10=5 (км/час)
Время сближения:
2 : 5=0,4 (час)
Время движения (t) у обоих велосипедистов одинаковое.
Первый велосипедист проедет расстояние:
S1=15*t
Обозначим количество кругов у первого велосипедиста за (n1)
При количестве кругов n1, расстояние пройденное первым велосипедистом составит:
S1=5*0,4*n1=2n1
Приравняем оба выражения S1
15t=2n1
Второй велосипедист проедет расстояние равное:
S2=10*t
Обозначим количество кругов у второго велосипедиста за (n2)
При количестве кругов n2, расстояние пройденное вторым велосипедистом составит:
S2=5*0,4*n2=2n2
Приравняем оба выражения S2
10t=2n2
Получилось два уравнения:
15t=2n1
10t=2n2
Разделим первое уравнение на второе, получим:
15t/10t=2n1/2n2
15/10=n1/n2
Делаем вывод, что минимальное количество кругов до встречи равно:
n1=15
n2=10
Из первого уравнения 15t=2n1 найдём значение (t)
t=2n1/15  подставим в это выражение n1=15
t=2*15/15=2 (часа)

ответ: Первый велосипедист впервые догонит второго велосипедиста через 2 часа.
4,8(44 оценок)
Ответ:
Karamelka3467
Karamelka3467
30.03.2022
1. Чтобы число делилось на 3, в сумме его цифры должны быть равны числу, которое делится на 3.
7+6+3=16, 7+6+3+2=18 делится на 3. Следовательно, добавляем 2, получается 7632.
2. Чтобы число делилось на 6, в сумме его цифры должны быть равны числу, которое делится и на 2, и на 3.
7+6+3=16, 7+6+3+2=18 делится и на 2, и на 3. Следовательно, добавляем 2, получается 7632.
3. Чтобы число делилось на 19, его десятки, сложенные с удвоенным числом единиц, делится на 19.
763*, сумма десятков=763, а теперь надо вместо * взять число и умножить его на 2, чтобы в сумме они делились на 19. Например, возьмем число 8, 2*8=16. Тогда, 763+16=779, делится на 19. Следовательно, 7638.
4,6(23 оценок)
Это интересно:
Новые ответы от MOGZ: Математика
logo
Вход Регистрация
Что ты хочешь узнать?
Спроси Mozg
Открыть лучший ответ