М
Молодежь
К
Компьютеры-и-электроника
Д
Дом-и-сад
С
Стиль-и-уход-за-собой
П
Праздники-и-традиции
Т
Транспорт
П
Путешествия
С
Семейная-жизнь
Ф
Философия-и-религия
Б
Без категории
М
Мир-работы
Х
Хобби-и-рукоделие
И
Искусство-и-развлечения
В
Взаимоотношения
З
Здоровье
К
Кулинария-и-гостеприимство
Ф
Финансы-и-бизнес
П
Питомцы-и-животные
О
Образование
О
Образование-и-коммуникации

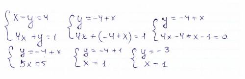
Решение систему уравнений подстановки { x-y=4 { 4x+y=-1

👇
Ответ:
мария21112006
мария21112006
15.10.2022

лови

4,8(38 оценок)
Ответ:
katyasha0504
katyasha0504
15.10.2022

РЕШЕНИЕ НИЖЕ НА СКАНЕ 

||

\/


Решение систему уравнений подстановки { x-y=4 { 4x+y=-1
4,6(15 оценок)
Открыть все ответы
Ответ:
Насколько я знаю есть только один)
1)Запиши на листке два числа, которые нужно помножить. Второе число разместите под первым так, чтобы последние цифры чисел были точно друг под другом. Проведите под ними черту. Все вычисления записывайте только под чертой.
2)Возьми крайнюю правую цифру второго числа и умножьте ее на крайнюю правую цифру первого числа. Если получается двухзначное число, ровно под умножаемыми цифрами запишите его последнюю цифру. Рядом со столбиком на листочке отметь оставшуюся первую цифру или запомни ее в уме.
3)Умножь опять крайнюю правую цифру второго числа на уже следующую цифру первого числа, расположенную левее. К результату умножения прибавь сохраненную ранее цифру от предыдущего произведения. Если умножаемая цифра первого числа была последней, запиши полученный результат полностью. Если же в первом числе еще есть цифры слева, также подели результат и запиши под умножаемыми цифрами последнюю цифру, а первую запомни.
4)Аналогичным образом умножь оставшиеся цифры первого числа на крайнюю правую цифру второго. Далее возьмите следующую цифру второго числа, расположенную левее. И, как и крайнюю цифру, помножь ее по очереди на все цифры первого числа. Результаты начинай записывать точно под умножаемой цифрой второго числа и на уровень ниже, чем на предыдущем шаге.
5)Помножь все цифры второго числа, как описано, на цифры первого числа. В итоге количество рядов цифровых записей должно получится равным количеству цифр второго числа.
6)Сложи полученные цифровые ряды. Для этого допиши нули в пустых местах рядов, чтобы можно было провести сложение. Проведи черту под всеми полученными рядами. Начни сложение с крайних правых цифр рядов. Складывай цифры находящиеся точно друг над другом. При получении в сумме двухзначного числа также записывай его последнюю цифру и сохраняй старшую цифру для прибавления к последующей сумме.
7)После сложения последних, самых правых цифр их результат запиши полностью. Причем старший разряд суммы, если он есть, должен быть помещен левее всех цифр ряда. Число ниже последней черты и есть произведение заданных чисел, полученное умножением в столбик.
А вообще я тебе советую зайти на сайт "Интернет урок" и ввести там эту тему,тогда поймёшь)
И да,этот план умножения я взяла с одного сайта,ты же понимаешь,что писать это самой было бы очень,очень трудно,зайди там есть примеры,а внизу даже есть видео плана умножения.
Если захочешь зайти на этой сайт,напечатай в интернете "как просто.ру",зайди на официальный сайт и в поиске вбей "умножение",ну а там,думаю,разберёшься)
Удачи!
4,4(3 оценок)
Ответ:
Даша0109
Даша0109
15.10.2022
1) 1/3 + 0,15 - 17/60 = 0,2
переведем обыкновенные дроби в десятичные
0,33 + 0,15 - 0,28 = 0,2

2) 15% от 3 целых 5/6 
переведем смешанное число в десятичную дробь
3 целых 5/6=3,83
100% - 3,83
15%   -  х
х= (3,83*5%) / 100% = 0,1915

3) х/5,4 = 10,2/1,8
х/5,4 = 5,67
х= 5,67*5,4 = 30,618
проверка
30,618 / 5,4=10,2/1,8
5,67 = 5,67 верно
ответ: 30,618

4) Пусть х страниц в первой главе, тогда во второй - 42% от х, а  третьей - 2/3 от (42% от х). Всего 340 страниц.
42% от х= 0,42х
2/3 от 0,42х=0,28х
Составим уравнение
х+0,42х+0,28х=340
1,7х=340
х=340/1,7=200 страниц в первой главе, тогда во второй=0,42*200=84 страницы, а в третьей=0,28*200=56 страниц.
ответ: 1=200 страниц; 2=84 страницы; 3=56 страниц
4,8(2 оценок)
Это интересно:
Новые ответы от MOGZ: Математика
logo
Вход Регистрация
Что ты хочешь узнать?
Спроси Mozg
Открыть лучший ответ