
1) -23,5
2) 3 74/75
Пошаговое объяснение:
1) 12-(20,5-15 1/3)-(15 2/3+3 1/6+11,5) = -23,5
1. 20,5 - 15 1/3 = 20 1/2 - 15 1/3 = 20 3/6 - 15 2/6 = 5 1/6
2. 15 2/3+3 1/6+11,5 = 15 2/3+3 1/6+11 1/2 = 15 4/6+3 1/6+11 3/6 = 30 2/6
3. 12 - 5 1/6 - 30 2/6 = 12 - 35 3/6 = -23 1/2 = -23,5
2) | 3 3/5-1 1/6-6.6 | -(-6.8+7.09)+(7.09-7.2) = 3 74/75
1. | 3 3/5-1 1/6-6.6 | = | 3 18/30-1 5/30-6 18/30 | = | -4 1/6| = 4 1/6
2. -6.8+7.09 = 0,29
3. (7.09-7.2) = -0,11
4. 0,29 + (-0,11) = 0,29 - 0,11 = 0,18 = 9/50
5. 4 1/6-9/50 = 4 25/150-27/150 = 3 175/150-27/150 = 3 148/150 = 3 74/75
Пошаговое объяснение:
Для того, чтобы выполнить это задание, достаточно того, чтобы хоть один раз прочитать данную тему в учебнике.
Числовой ряд: 4, 6, 12, 9, 9, 5, 9, 6.
Среднее арифметическое ряда чисел - это частное от деления суммы этих чисел на количество слагаемых:
(4+6+12+9+9+5+9+6)/8=60/8=15/2=7,5
Размах числового ряда - это разность между наибольшим и наименьшим из этих чисел.
Чтобы его найти упорядочим числовой ряд: 4, 5, 6, 6, 9, 9, 9, 12.
12-4=8 - размах ряда чисел.
Мода ряда чисел - число, которое встречается в данном ряду чаще других: 9 (встречается три раза).
Медиана упорядоченного числового ряда - число, записанное посередине (если количество чисел нечётное), а также среднее арифметическое двух чисел, записанных посередине (если количество чисел чётное, как в нашем примере):
(6+9)/2=15/2=7,5
думаю ты поймешь
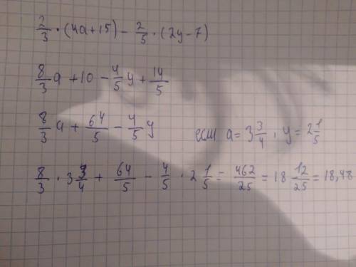
Пошаговое объяснение: