М
Молодежь
К
Компьютеры-и-электроника
Д
Дом-и-сад
С
Стиль-и-уход-за-собой
П
Праздники-и-традиции
Т
Транспорт
П
Путешествия
С
Семейная-жизнь
Ф
Философия-и-религия
Б
Без категории
М
Мир-работы
Х
Хобби-и-рукоделие
И
Искусство-и-развлечения
В
Взаимоотношения
З
Здоровье
К
Кулинария-и-гостеприимство
Ф
Финансы-и-бизнес
П
Питомцы-и-животные
О
Образование
О
Образование-и-коммуникации
мансур45
мансур45
13.03.2020 11:50 •  Математика

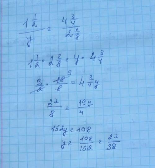
1целая 1/2÷y=4 целых 3/4 ÷2 целых 2/8 решить пропорцией​

👇
Ответ:

решение на фотографии


1целая 1/2÷y=4 целых 3/4 ÷2 целых 2/8 решить пропорцией​
4,8(24 оценок)
Открыть все ответы
Ответ:
лисёнок333
лисёнок333
13.03.2020
Конькобежный спорт, или иначе скоростной бег на коньках – один из традиционных зимних состязаний. Основная задача спортсмена здесь достаточно проста: правила говорят, что для победы ему необходимо за минимальный временной промежуток преодолеть заявленную соревновательную дистанцию. Соревнования проводятся по замкнутому кругу на ледовом стадионе.

История конькобежного спорта - одна из самых длинных. Археологи датируют самые древние коньки, ими обнаруженные, вторым тысячелетием до нашей эры. Принадлежал этот артефакт кочевому племени кимерийцев, живших еще 3200 лет назад на территории Северного Причерноморья. Официальная история конькобежного спорта началась в Великобритании XVIII регистрированные соревнования конькобежцев. Распространения, правда они не получили: как вид спортивного состязания скоростной бег на коньках по замкнутому кругу стал развиваться лишь во второй половине девятнадцатого столетия.

В конце 1880-х годов в голландской столице, Амстердаме, состоялся первый Чемпионат мира по конькобежному спорту. Соревнования приобрели статус официальных, и уже в 1893 году все в том же Амстердаме первый официальный чемпионат мира среди мужчин. Женские чемпионаты мира начали проводиться лишь в двадцатом веке - с 1936 года. Спринтерское многоборье (забеги на 500 и 1000 метров) стало частью программы Чемпионата еще позже с 1972 года. Мужское первенство Европы стало проводиться я с 1893 года, а женское – только с 1970 года.

В XIX веке, с началом популяризации скоростного бега на коньках, появился Международный союз конькобежцев. Произошло это в 1892 году. Сегодня он объединяет более шести десятков национальных федераций.

Конькобежный спорт в России официально начал свое существование 19 февраля 1889 года. В тот день в Москве самый первый чемпионат России по скоростному бегу на коньках. Почетную доску «знаменитые конькобежцы России» открыл Александр Паншин, ставший первым чемпионом России в соревнованиях на катке Московского речного яхт-клуба. Советские конькобежцы первый раз приняли участие в VII зимней Олимпиаде 1956 года. Тогда им удалось завоевать семь призовых медалей. Первой в знаменитые конькобежцы мира попала Мария Исакова: трижды подряд она выигрывала первенство мира, завоевав три олимпийских награды. На этом советские победы в скоростном катании на коньках не закончились: в 1957 году советские спортсменки, выступая на XV женском первенстве мира, проходившем в финском городе Иматре, заняли практически все призовые места: 13 из 15 возможных. В 1984 году в конькобежном марафоне Игорь Малков становится первым советским олимпийским чемпионом на соревнованиях в Сараево. А в 1987 году Николай Гуляев выиграл все высшие конькобежные награды чемпионатов Европы и мира.

Российская история конькобежного спорта не так длинна, но тоже радует нас спортивными достижениями. На одном из этапов розыгрыша Кубка мира по конькобежному спорту 2011 года, который в городе Херенвене, Нидерланды россиянин Иван Скобрев стал главным призером на дистанции 1500 метров.
Правила:
http://pandia.ru/text/78/177/249.php
4,6(99 оценок)
Ответ:
Dronton
Dronton
13.03.2020
1)за один час  через первую трубу может наполниться 1/3 бака,а за два часа 2/3 бака. Значит за два часа через вторую трубу наполнилось 1/3 бака , скорость наполнения через вторую трубу 1/6 бака в час. Значит 2/3 обьема бака наполниться за 4 часа. 2/3 : на 1/6=4.2) За 15 часов 1-ая Гейдерная машина выровняла дорогу 15делить на 45=1/3 часть работы, а вторая машина 15 поделить на 36=5/12. За 15 часов они сделали , 1/3 + 5/12=3/4 обьема работы. Вторая машина доделывала 1/4 часть работы. Составим пропорцию:1/4 = х/36. х= 9.ответ 9 часовЗадачи на совместное действие.1. Бак наполнится через две трубы за  .Бак наполнится через одну трубу (первую) за .Приводим к общему знаменателю: - значит вторая труба наполнит полный бак (1) за 6 часов.Нам нужно 2/3 - значит: 6ч * 2/3 = 4часа.ответ. 2/3 бака через вторую трубу наполнятся за 4 часа. 2.Первая машина работает .Вторая машина работает .Приводим к общему знаменателю: Значит вместе они могут сделать работу за 20 часов.Работая 15 часов они сделали . Значит осталась еще 1/4 работы. Так как мы знаем, что вторая машина завершит всю работы за 36 часов, то  ответ: вторая машина еще проработает 9 часов.
4,5(97 оценок)
Новые ответы от MOGZ: Математика
logo
Вход Регистрация
Что ты хочешь узнать?
Спроси Mozg
Открыть лучший ответ