
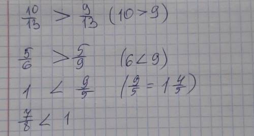
10/13>9/13;
5/6<5/9
1<9/5
7/8<1
В этом же интервале имеются 142 числа, кратных 7 : [999 : 7] = 142* .
Среди 142 чисел, кратных 7, имеются числа, которые делятся также и на 5, то есть кратные 35.
Всего таких чисел 28: [999 : 35]= 28* .
Эти 28 чисел уже учтены в числе 199, найденном ранее.
Поэтому количество чисел, меньших 1000, которые делятся либо на 5, либо на 7, равно 199 + 142 - 28 = 313.
В рассматриваемом интервале остается 999 - 313 = 686 чисел,
которые не делятся ни на 5, ни на 7.
* [N] - целая часть числа N . Например, [13,45] = 13.
на фото...... ........