М
Молодежь
К
Компьютеры-и-электроника
Д
Дом-и-сад
С
Стиль-и-уход-за-собой
П
Праздники-и-традиции
Т
Транспорт
П
Путешествия
С
Семейная-жизнь
Ф
Философия-и-религия
Б
Без категории
М
Мир-работы
Х
Хобби-и-рукоделие
И
Искусство-и-развлечения
В
Взаимоотношения
З
Здоровье
К
Кулинария-и-гостеприимство
Ф
Финансы-и-бизнес
П
Питомцы-и-животные
О
Образование
О
Образование-и-коммуникации
silvia16
silvia16
29.12.2021 19:56 •  Математика

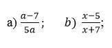
Запишите значения переменных в выражение:


Запишите значения переменных в выражение:

👇
Открыть все ответы
Ответ:
nazarushka
nazarushka
29.12.2021
  пока делала рисунок, чтобы было понятно, как наташа вышла из положения, уже дали правильный ответ. надеюсь, этот не будет лишним.    наташа  поделила рулет на 3 части.  два куска поделила надвое в отношении 1: 3,    , что равно  1/4 и 1/12 всего рулета,   третий поделила пополам, его каждая часть = 1/6 всего рулета.  если придут 3 гостя, каждый получит по 1/3 рулета.    1- ый    1/4+1/12=1/3 рулета.  2-ой 1/6+1/6=1/3 3-ий   1/4+1/12=1/3 если придут 4 гостя 1-ый получит  1/4 2-ой   -1/6+1/12=3/12=1/4 3-ий -1/6+1/12=3/12=1/4 4-ый -1/4   всего рулета.  в итоге каждый гость получит  не более двух кусков рулета.  как это выглядит - см. вложение 
4,6(3 оценок)
Ответ:
shdbrjhb
shdbrjhb
29.12.2021
На скейтборде и на роликах умеют кататься 10 человек, а 3 из них катаются еще и на сноуборде. следовательно, кататься только на скейтборде и на роликах умеют 10-3=7 . аналогично получаем, что только на скейтборде и на сноуборде умеют кататься 8-3=5 , а только на сноуборде и на роликах 5-3=2 человека. определим теперь, сколько человек умеют кататься только на одном спортивном снаряде. кататься на сноуборде умеют 30 человек, но 5+3+2=10 из них владеют и другими , следовательно, только на сноуборде умеют кататься 20 . аналогично получаем, что только на скейтборде умеют кататься 13 , а только на роликах – 30 . по условию всего 100 . 20+13+30+5+7+2+3=80 – умеют кататься хотя бы на одном спортивном снаряде. следовательно, 20 человек не умеют кататься ни на одном спортивном снаряде.  20 человек не умеют кататься ни на одном спортивном снаряде.
4,7(9 оценок)
Это интересно:
Новые ответы от MOGZ: Математика
logo
Вход Регистрация
Что ты хочешь узнать?
Спроси Mozg
Открыть лучший ответ