М
Молодежь
К
Компьютеры-и-электроника
Д
Дом-и-сад
С
Стиль-и-уход-за-собой
П
Праздники-и-традиции
Т
Транспорт
П
Путешествия
С
Семейная-жизнь
Ф
Философия-и-религия
Б
Без категории
М
Мир-работы
Х
Хобби-и-рукоделие
И
Искусство-и-развлечения
В
Взаимоотношения
З
Здоровье
К
Кулинария-и-гостеприимство
Ф
Финансы-и-бизнес
П
Питомцы-и-животные
О
Образование
О
Образование-и-коммуникации
zadykamova
zadykamova
31.10.2020 00:31 •  Математика

Ение:
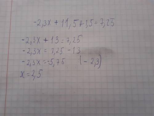
—2,3(х – 5) + 1.5 = 7.25​

👇
Ответ:
ауе59
ауе59
31.10.2020

Пошаговое объяснение:

Как то так


Ение:—2,3(х – 5) + 1.5 = 7.25​
4,5(100 оценок)
Открыть все ответы
Ответ:
ольга1480
ольга1480
31.10.2020

В решении.

Пошаговое объяснение:

152.

                                                Таблица

Масштаб карты        Расстояние на карте     Расстояние на местности

1) 1 : 1000                                      10 см                                 100 м

Масштаб 1 : 1000 означает, что в 1 см на карте 1000 см на местности.

Перевести в метры: 1000 : 100 =в 1 см на карте 10 м на местности.

10 м * 10 см = 100 м на местности.

2) 1 : 500 000                              16 см                                   80 км

Масштаб 1 : 500 000 означает, что в 1 см на карте 500 000 см на местности.

Перевести в метры: 500 000 : 100 = в 1 см на карте 5 000 м на местности.

Перевести в км: 5 000 : 1000 = в 1 см на карте 5 км на местности.

5 км * 16 = 80 км на местности.

3) 1 : 30 000 000                           5 см                               1500 км

В 1 см на карте 1500 : 5 = 300 км на местности.

Перевести в см: 300 * 1000 * 100 = 30 000 000 см в 1 см на карте.

Масштаб карты 1 : 30 000 000.

4) 1 : 2 000 000                             1 см                                 20 км

В 1 см на карте 20 км на местности.

Перевести в см: 20 * 1000 * 100 = 2 000 000 см в 1 см на карте.

Масштаб карты 1 : 2 000 000.

5) 1 : 30 000 000                   0,3 см (30 мм)                       90 км

Масштаб 1 : 30 000 000 означает, что в 1 см на карте 30 000 000 см на местности.

Перевести в метры: 30 000 000 : 100 = в 1 см на карте 300 000 м на местности.

Перевести в км: 300 000 : 1000 = в 1 см на карте 300 км на местности.

90 : 300 = 0,3 см на карте, или 30 мм.

153.

При масштабе 1 : 3 деталь, длина которой на чертеже 12 см, в действительности длиной 36 см (12 * 3 = 36 см).

Соответственно, если на чертеже длина детали будет 9 см, масштаб будет 1 : 4 (36 : 9 = 4).

4,6(49 оценок)
Ответ:
Пакмен007
Пакмен007
31.10.2020
Program uborka;
var a,b,c: integer; //количество вещей в стопках
    k: real; //минимальное количество ходов. вещественное, т.к. результат деления
    sa: integer; //среднее арифметическое. к-во вещей должное быть в каждой стопке
begin
  writeln ('введите a, b и c через пробел');
  readln (a, b, c);
  if ((a+b+c) mod 3) = 0 //если сумма вещей делится на 3 нацело  
     then begin 
          sa:=((a+b+c) div 3); //среднее арифметическое выражаю через результат целочисленного деления, т.к иначе конфликт типов
          k:=(abs(sa-a)+abs(sa-b)+abs(sa-c))/2; //к-во шагов - это половина суммы модулей разности СА и каждой полки
          writeln (k)
         end
    else writeln ('IMPOSSIBLE')
end.



program shariki;
{n - всего шариков (от 0 до 100 вкл)
a - время на надувание 1-го шарика (от 1 до 100 вкл)
k - мах кол-во шариков, которое понадобится надуть одному из 2-ух мальчиков 
t - мин кол-во времени на надувание всех шариков двумя мальчиками}
var n, a, k, t: integer;   begin
  writeln ('введите n и a через пробел');
  readln (n,a);
  k:=(n div 2)+(n mod 2);//делим к-во шариков на 2 мальчика и прибавляем лишний при наличии
  t:=k*a;
  writeln (t)
end.



program otoplenie;
{k - кол-во кубометров на 1 батарею (<=2*109)
h - высота комнаты (<=105)
w - ширина комнаты (<=105)
l - длина комнаты  (<=105)}
var h, w, l, k, v, n: integer;     
begin
  writeln ('введите h, w, l, k через пробел');
  readln (h, w, l, k);  
  n:=((h*w*l) div k); 
  if ((h*w*l) mod k)>0 then n:=n+1;  
  {делим объем комнаты на объем воздуха для одной батареи (берем только целую часть). 
  если нацело не делится, то к целому от деления прибавляем еще 1 батарею для обогрева остатка}
  writeln (n)
end.
здесь, как я понимаю, вводимые данные не могут быть <= нулю, поэтому нулевые и отрицательные варианты не рассматривались 

 
4,8(78 оценок)
Это интересно:
Новые ответы от MOGZ: Математика
logo
Вход Регистрация
Что ты хочешь узнать?
Спроси Mozg
Открыть лучший ответ