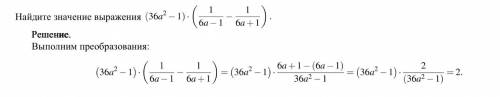
Здравствуйте, решите пошагово Не понимаю почему 6а-1 в скобках и почему в ответе двойка, если 36а^2-1, по идее, умножается на 2 и сокращается в половину из деления...
Добро – это в первую очередь Духовные деньги Земли. И я от всего Сердца призываю вас с этого часа запустить их в оборот.
Поделюсь с вами замечательной идеей, которой посвящён фильм «Плата вперёд» («Pay for forward»). Её суть в том, чтобы хоть один Человек сотворил Доброе Дело для трёх других людей и попросил каждого из них сделать то же самое. Согласно этой идее Добрые поступки должны естественно распространиться по всей Земле.
Добрые Дела сейчас особенно нужны Земле. В силах каждого из нас друг другу, чтобы компенсировать эгоизм, лицемерие, обман нашего общества.
Не нужно ограничиваться лишь трёмя людьми. В Добре нуждаются все, не только люди. Оплачивайте в Добре своё Будущее и Будущее своих детей. Добро нужно животным и растениям, камням, воде, Земле, Солнцу. Но, наверное, нужно начать с близких. Пусть это начнётся для вас со своеобразной игры. Заинтересуйте ею остальных. Наш Мир станет прекраснее от этого!
Единица измерения Добра – не часы, не объём материальной и не ценность совета. Единица Добра, это ПОРЫВ ДУШИ. Любое совершённое Добро может быть очень маленьким в примитивном земном исчислении, а может быть и значительным, таким как машина в подарок. Но Добро есть Добро. Его величина определяется лишь широтой вашей Души.
Разве можно сравнить депозитный вклад с вершением Добра? Ни в коем случае! Давайте подумаем. Депозитный вклад открывается в душевном порыве? Нет, скорее от безысходности, отсутствия Будущего! При этом депозит является обманом обеспечения жизни, так как проценты, получаемые по нему, лишь временно снимают симптомы болезни безденежья. На самом же деле проценты по депозитам разрушают ваше Будущее.
Депозиты питаются энергией Будущего. А Добро создаёт Будущее!
Так создавайте своё Будущее! Делайте вклады в Добре!
Предупреждение Высшего Вселенского Банка Расчётов. Внимание! Принимаются только вклады, обеспеченные душевными порывами, творчеством, озарениями, милосердием, умилением, любовью, соучастием и искренностью! Делайте Добро, добрые люди! Оно обойдёт всю планету и вернётся к вам! Удачи
Эл. з. т. : + 1.не затекает рука при печатаньи. 2.электронная проверка ошибок. 3. более понятный текст. 4.быстрый процесс. 5.экономия.(ручек,карандашей...) 6.быстрая отправка текста. 7. возможность скопировать текст с интернета за короткое время. 8.возможность добавить изображение без ножниц и клея. 9.компактность в использовании. 10.популярность среди нового поколения. _ 1.портится зрение. 2.после долгого печатанья хочется спать, что частому употреблению напитков содержащих бодрящий эфект.(кофе, энергетики...) 3. трата на электричество. 4. трата на краски для принтера. 5.не возможно подписать документ при электронной отправке. 5. если печатать то не обойтись без файла и тому подобного, что также требует затрат. 6.трудность в составлении задач и примеров,так как на клавиатуре нет знаков : и т. п.(не всегда) 7.возможна малая трата средств на интернет. 8. при малейшем сбое фаил может пропасть. 9.если человек не сохранил значимый фаил это может ухудшению психики. как и просто проведение времени за компьютером. пока всё.
Поделюсь с вами замечательной идеей, которой посвящён фильм «Плата вперёд» («Pay for forward»). Её суть в том, чтобы хоть один Человек сотворил Доброе Дело для трёх других людей и попросил каждого из них сделать то же самое. Согласно этой идее Добрые поступки должны естественно распространиться по всей Земле.
Добрые Дела сейчас особенно нужны Земле. В силах каждого из нас друг другу, чтобы компенсировать эгоизм, лицемерие, обман нашего общества.
Не нужно ограничиваться лишь трёмя людьми. В Добре нуждаются все, не только люди. Оплачивайте в Добре своё Будущее и Будущее своих детей. Добро нужно животным и растениям, камням, воде, Земле, Солнцу. Но, наверное, нужно начать с близких. Пусть это начнётся для вас со своеобразной игры. Заинтересуйте ею остальных. Наш Мир станет прекраснее от этого!
Единица измерения Добра – не часы, не объём материальной и не ценность совета. Единица Добра, это ПОРЫВ ДУШИ. Любое совершённое Добро может быть очень маленьким в примитивном земном исчислении, а может быть и значительным, таким как машина в подарок. Но Добро есть Добро. Его величина определяется лишь широтой вашей Души.
Разве можно сравнить депозитный вклад с вершением Добра? Ни в коем случае!
Давайте подумаем. Депозитный вклад открывается в душевном порыве? Нет, скорее от безысходности, отсутствия Будущего! При этом депозит является обманом обеспечения жизни, так как проценты, получаемые по нему, лишь временно снимают симптомы болезни безденежья. На самом же деле проценты по депозитам разрушают ваше Будущее.
Депозиты питаются энергией Будущего. А Добро создаёт Будущее!
Так создавайте своё Будущее! Делайте вклады в Добре!
Предупреждение Высшего Вселенского Банка Расчётов.
Внимание! Принимаются только вклады, обеспеченные душевными порывами,
творчеством, озарениями, милосердием, умилением, любовью, соучастием и искренностью!
Делайте Добро, добрые люди!
Оно обойдёт всю планету и вернётся к вам! Удачи