М
Молодежь
К
Компьютеры-и-электроника
Д
Дом-и-сад
С
Стиль-и-уход-за-собой
П
Праздники-и-традиции
Т
Транспорт
П
Путешествия
С
Семейная-жизнь
Ф
Философия-и-религия
Б
Без категории
М
Мир-работы
Х
Хобби-и-рукоделие
И
Искусство-и-развлечения
В
Взаимоотношения
З
Здоровье
К
Кулинария-и-гостеприимство
Ф
Финансы-и-бизнес
П
Питомцы-и-животные
О
Образование
О
Образование-и-коммуникации
egorsh1
egorsh1
19.12.2020 14:17 •  Математика

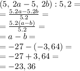
Найдите значение выражения:
(5,2ɑ - 5,2b):5,2 если ɑ= - 27; b= -3,64.

👇
Ответ:
Seitowad
Seitowad
19.12.2020

\left(5,\:2a-5,\:2b\right):5,2=\\=\frac{5.2a-5.2b}{5.2}=\\=\frac{5.2\left(a-b\right)}{5.2}=\\=a-b=\\=-27-(-3,64)=\\=-27+3,64=\\=-23,36

4,8(92 оценок)
Открыть все ответы
Ответ:
chibitkova237
chibitkova237
19.12.2020
Пусть: х (км/ч)- скорость 1-го самолёта
Тогда: х+350(км/ч)- скорость удаления
Зная, что расстояние между ними 2400 км,а скорость 2-го равна 350 км/ч, составим и решим уравнение:
(x+350)*4=2400
x+350=600
x=250 (км/ч)- скорость 1-го
ответ: 250 км/ч

Или по действиям:
1) 2400/4=600(км/ч)-U удаления
2)600-350=250(км/ч)-U 2-го самолёта
ответ: 250 км/ч

Вроде всё ;)                                |
P.S. благодарность в личку :)   |
                                                 \  |  / 
                                                  \ | /
                                                   \|/
                                                    |
4,4(63 оценок)
Ответ:
Настюха20071
Настюха20071
19.12.2020
Пусть: х (км/ч)- скорость 1-го самолёта
Тогда: х+350(км/ч)- скорость удаления
Зная, что расстояние между ними 2400 км,а скорость 2-го равна 350 км/ч, составим и решим уравнение:
(x+350)*4=2400
x+350=600
x=250 (км/ч)- скорость 1-го
ответ: 250 км/ч

Или по действиям:
1) 2400/4=600(км/ч)-U удаления
2)600-350=250(км/ч)-U 2-го самолёта
ответ: 250 км/ч

Вроде всё ;)                                |
P.S. благодарность в личку :)   |
                                                 \  |  / 
                                                  \ | /
                                                   \|/
                                                    |
4,6(55 оценок)
Это интересно:
Новые ответы от MOGZ: Математика
logo
Вход Регистрация
Что ты хочешь узнать?
Спроси Mozg
Открыть лучший ответ