М
Молодежь
К
Компьютеры-и-электроника
Д
Дом-и-сад
С
Стиль-и-уход-за-собой
П
Праздники-и-традиции
Т
Транспорт
П
Путешествия
С
Семейная-жизнь
Ф
Философия-и-религия
Б
Без категории
М
Мир-работы
Х
Хобби-и-рукоделие
И
Искусство-и-развлечения
В
Взаимоотношения
З
Здоровье
К
Кулинария-и-гостеприимство
Ф
Финансы-и-бизнес
П
Питомцы-и-животные
О
Образование
О
Образование-и-коммуникации
fanfa
fanfa
02.12.2020 16:03 •  Математика

Выразите переменную B через переменную А в выражении.​


Выразите переменную B через переменную А в выражении.​

👇
Ответ:
3^6а*7=4²b

Пошаговое объяснение:

это правильно удачи

4,4(17 оценок)
Ответ:
verona911
verona911
02.12.2020

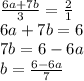
\frac{6a+7b}{3}=\frac{2}{1} \\6a+7b=6\\7b=6-6a\\b=\frac{6-6a}{7}

Пошаговое объяснение:

 самое первое действие я сделал по основному свойству пропорций.


Выразите переменную B через переменную А в выражении.​
4,5(55 оценок)
Открыть все ответы
Ответ:
polina2004121
polina2004121
02.12.2020
Автомобиль за три дня проехал 750 км. За первые два дня он проехал 535 км. Сколько километров он проезжал в каждый из трёх дней, если в первый день он проехал на 85 км больше, чем во второй?

750-535=215 км -проехал в 3 день
535-85=450-проехал бы за первые дня,если бы проезжал поровну
450:2=225 км-проехал во второй
225+85=310 км-проехал в первый
2) За два дня турист км. В первый день он шёл 7 часов, а во второй - 8 часов. Сколько километров он в каждый из этих дней, если шёл с одной и той же скоростью?

7+8=15 ч-шёл два дня
75:15=5 км/ч за один час
5х7=35 км в 1 день
5х8=40 км во 2 день
4,8(4 оценок)
Ответ:
FUNNIAO
FUNNIAO
02.12.2020
Жимолость-род кустарников семейства жимолостных.Листья простые, опадающие или вечнозелёные. Цветки белые, жёлтые, розовые или красные, расположены попарно , иногда собраны по нескольку в головчатые или колосовидные соцветия. Плоды — сочные ягоды, свободно или попарно сросшиеся.Растет в подлеске, светолюбива, используется в озеленении городов. Древесина идёт на поделки.  Плоды созревают в первой половине июня, раньше, чем земляника.Цветки и завязи легко переносят весенние заморозки до минус 8 градусов. Ягоды используют как сосудоукрепляющее средство при гипертонии, при расстройствах желудочно-кишечного тракта, в качестве мочегонного и общеукрепляющего средства. Соком лечат лишаи и язвы. Жимолость очень устойчива к поражениям вредителей и болезней.Вкус плодов очень разнообразен – сладкий, кисло-сладкий, кислый с более-менее выраженной пикантной горчинкой, которую придает гликозид лоницеpин. Ягоды жимолости бывают как съедобными, так и горькими на вкус, причем горечь несъедобных надолго остается во рту. По вкусу ягоды напоминают голубику.
4,6(72 оценок)
Это интересно:
Новые ответы от MOGZ: Математика
logo
Вход Регистрация
Что ты хочешь узнать?
Спроси Mozg
Открыть лучший ответ