М
Молодежь
К
Компьютеры-и-электроника
Д
Дом-и-сад
С
Стиль-и-уход-за-собой
П
Праздники-и-традиции
Т
Транспорт
П
Путешествия
С
Семейная-жизнь
Ф
Философия-и-религия
Б
Без категории
М
Мир-работы
Х
Хобби-и-рукоделие
И
Искусство-и-развлечения
В
Взаимоотношения
З
Здоровье
К
Кулинария-и-гостеприимство
Ф
Финансы-и-бизнес
П
Питомцы-и-животные
О
Образование
О
Образование-и-коммуникации
котик2107
котик2107
22.03.2022 23:31 •  Математика

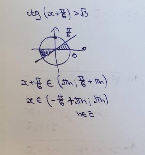
Решите неравенство
ctg(x+п/6)>√3

👇
Ответ:
Данька228228
Данька228228
22.03.2022

решение на фотографии .


Решите неравенство ctg(x+п/6)>√3
4,4(60 оценок)
Открыть все ответы
Ответ:
leradolgolenko
leradolgolenko
22.03.2022
1.
2 т 5 ц = 2,5 т.
2,5*16 = 40 т - привезли в первый день
40*3/4 = 30 т - привезли во второй день
40+30 = 70 т - привезли за первые два дня.
70*1/4 = 17,5 т - привезли за третий день.
70+17,5 = 87,5 т - привезли за три дня.
87,5*3 = 262,5 т - осталось.
87,5+262,5 = 350 т - привезли всего.

2.
136-120 = 16 - добавили больше во второй, чем в первый.
140-140 = 20 - добавили больше в третий, чем в первый.
16+20 = 36 - добавили больше во второй и третий, чем в первый.
117-36 = 81 - добавили в три ящика
81:3 = 27 - добавили в каждый.
27 - в первый ящик
27+16 = 43 - во второй ящик
27+20 = 47 - в третий ящик.
4,8(46 оценок)
Ответ:
Roma765432112
Roma765432112
22.03.2022

1. Төмендегі сұрақтарға жауап беріңіз . ( ) 1 ) Ежелгі Римнің саяси патриоты ( Римде орын алған соғыстар , билікте болған өзгерістер туралы нақты 3 мысал келтіреміз ) ( ) 2 ) Ежелгі Рим мемлекетінің қоғамдық құрылымы қандай болдыі ? ( әскерилер , куздар т.б. қоғамдағы орыны туралы ) ( 3 бат ) 3 ) Ежелгі Рим мен Ежелгі Герекия өркениетінің жетістіктерін салыстырыңыздар ? ( ылыми , мәдени - рухани салатда қандай жетістіктерге қол жеткізді әрқайсысына кемінде 3 мысалдсан келтіреміз ) ( )

Пошаговое объяснение:

мне нужен у меня тжб

4,8(73 оценок)
Это интересно:
Новые ответы от MOGZ: Математика
logo
Вход Регистрация
Что ты хочешь узнать?
Спроси Mozg
Открыть лучший ответ