М
Молодежь
К
Компьютеры-и-электроника
Д
Дом-и-сад
С
Стиль-и-уход-за-собой
П
Праздники-и-традиции
Т
Транспорт
П
Путешествия
С
Семейная-жизнь
Ф
Философия-и-религия
Б
Без категории
М
Мир-работы
Х
Хобби-и-рукоделие
И
Искусство-и-развлечения
В
Взаимоотношения
З
Здоровье
К
Кулинария-и-гостеприимство
Ф
Финансы-и-бизнес
П
Питомцы-и-животные
О
Образование
О
Образование-и-коммуникации
Markys1555
Markys1555
17.02.2023 10:22 •  Математика

Найдите корень уравнения.
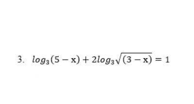
log3(5-x)+2log3корень из (3-x) =0
Карточка


Найдите корень уравнения. log3(5-x)+2log3корень из (3-x) =0 Карточка

👇
Ответ:
veron001
veron001
17.02.2023

Вот, вам решение, внизу на картинке.

Можете себе скачать приложение фотомач и всё


Найдите корень уравнения. log3(5-x)+2log3корень из (3-x) =0 Карточка
Найдите корень уравнения. log3(5-x)+2log3корень из (3-x) =0 Карточка
Найдите корень уравнения. log3(5-x)+2log3корень из (3-x) =0 Карточка
4,5(48 оценок)
Открыть все ответы
Ответ:
floragormonikddd1
floragormonikddd1
17.02.2023
1)Возьмем из этих цифр несколько первых, напр, цифры 1,41, а остальные отбросим. Тогда мы получим приближенное значение числа α, причем это значение будет с недостатком, так как 1,41 < α.
2)То же, что излишек. Избытки запасов.
3) π ≈ 3,1415 вот это и есть приближонное значение т.е не целое.
4)≈ 
5)
6)
Натуральный ряд чисел конструируется на основе начального натурального числа, называемого единицей (обозначение "1") и операции перехода к следующему. Эта операция применима к любому натуральному числу, а ее результат считается натуральным числом, следующим за исходным.   Для любого натурального числа существует только одно следующее. Единица является наименьшим натуральным числом, поскольку нет такого натурального числа, для которого она была бы следующим.
4,4(45 оценок)
Ответ:
sashok509
sashok509
17.02.2023
3+6-8+10
1.В течении суток  температура поднялась на 3°С,затем поднялась ещё на 6°С,затем снизилась на 8°С и резко поднялась на 10°С.
2.Некоторая точка на координатной прямой вначале передвинулась вправо на 3 единицы,затем-ещё на 6 единиц вправо,после этого данная точка передвинулась на 8 единиц влево и ещё раз на 10 единиц вправо.
3.В первый день я заработал на 3 гривни больше,чем потратил,во в торой день-на 6 гривень больше,чем потратил,в третий день я потратил на 8 гривень больше,чем заработал и ,наконец,заработал 10 гривень и ничего не потратил.

Выражение: +3+6+(-8)+10
4,6(68 оценок)
Новые ответы от MOGZ: Математика
logo
Вход Регистрация
Что ты хочешь узнать?
Спроси Mozg
Открыть лучший ответ