М
Молодежь
К
Компьютеры-и-электроника
Д
Дом-и-сад
С
Стиль-и-уход-за-собой
П
Праздники-и-традиции
Т
Транспорт
П
Путешествия
С
Семейная-жизнь
Ф
Философия-и-религия
Б
Без категории
М
Мир-работы
Х
Хобби-и-рукоделие
И
Искусство-и-развлечения
В
Взаимоотношения
З
Здоровье
К
Кулинария-и-гостеприимство
Ф
Финансы-и-бизнес
П
Питомцы-и-животные
О
Образование
О
Образование-и-коммуникации
aidored
aidored
29.03.2020 06:54 •  Математика

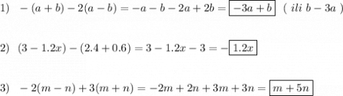
Раскрой скобки и приведи подобные слогаемые: 1) - (а + в) - 2 (а-в)
2) (3-1,2х) - (2,4 + 0,6)
3) - 2 (m - n) + 3 (m + n)

👇
Ответ:
11Doctor
11Doctor
29.03.2020

1)\ \ -(a+b)-2(a-b)=-a-b-2a+2b=\boxed{-3a+b}\ \ (\ ili\ b-3a\ )\\\\\\2)\ \ (3-1.2x)-(2.4+0.6)=3-1.2x-3=-\boxed{1.2x}\\\\\\3)\ \ -2(m-n)+3(m+n)=-2m+2n+3m+3n=\boxed{m+5n}

4,5(100 оценок)
Открыть все ответы
Ответ:
микки35
микки35
29.03.2020
Решаем по формуле:

Р(А) = m ÷ n

Р(А) – вероятность события А,
m – число благоприятствующих исходов этому событию,
n – число всевозможных исходов.

Значит, А - момент когда выпадет 9 очков.
Тогда, Р(А) - вероятность того, что выпадет 9 очков.

Нужно найти все сочетания чисел, при которых может в сумме получиться 9: 162, 126, 216, 423, 144, 414, 441, 333, 315, 252, 225, 234, 621, 243, 342, 432, 261, 135, 315, 522, 531, 351, 513, 612, 324.
Это кол-во наших вариантов, 25.
Значит, m = 25.

Так как n - количество всех возможных комбинаций при выбрасе кубиков, то:
n = 6×6×6 = 216

Найдем вероятность:

Р(А) = m ÷ n = 25 ÷ 216 ≈ 0.116

ответ: Р(А) ≈ 0.116
4,7(34 оценок)
Ответ:
romchik238
romchik238
29.03.2020
1. 
сначала нужно посчитать скорость теплохода против течения, то есть 241,92/5,6=43,2 км/ч скорость теплохода против течения
затем нужно к скорости теплохода против течения прибавить скорость течения реки, то есть 43,2+2,7=45,9 км/ч скорость теплохода в стоячей реке
так как теплоходу нужно двигаться в обратном направлении, то нужно к скорости теплохода в стоячей реке прибавить скорость течения реки, то есть 45,9+2,7=48,6 км/ч скорость движения теплохода по течению.
теперь остается разделить путь на скорость, то есть 241,91/48,6=4,98 часа.
4,6(30 оценок)
Это интересно:
Новые ответы от MOGZ: Математика
logo
Вход Регистрация
Что ты хочешь узнать?
Спроси Mozg
Открыть лучший ответ