М
Молодежь
К
Компьютеры-и-электроника
Д
Дом-и-сад
С
Стиль-и-уход-за-собой
П
Праздники-и-традиции
Т
Транспорт
П
Путешествия
С
Семейная-жизнь
Ф
Философия-и-религия
Б
Без категории
М
Мир-работы
Х
Хобби-и-рукоделие
И
Искусство-и-развлечения
В
Взаимоотношения
З
Здоровье
К
Кулинария-и-гостеприимство
Ф
Финансы-и-бизнес
П
Питомцы-и-животные
О
Образование
О
Образование-и-коммуникации
мария1965
мария1965
22.07.2020 15:59 •  Математика

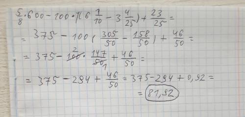
Найди значение выражения. 5/8 х 600 - 100 х 1 ( 6 1/10 - 3 4/25 ) + 23/25

👇
Ответ:
PhantomMen
PhantomMen
22.07.2020

ответ: ...

Пошаговое объяснение:


Найди значение выражения. 5/8 х 600 - 100 х 1 ( 6 1/10 - 3 4/25 ) + 23/25
4,8(45 оценок)
Открыть все ответы
Ответ:
Camelia1980
Camelia1980
22.07.2020

То́мас А́лва Э́дисон[5] (англ. Thomas Alva Edison; 11 февраля 1847, Майлен, штат Огайо — 18 октября 1931, Уэст-Ориндж, штат Нью-Джерси) — американский изобретатель и предприниматель, получивший в США 1093 патента[6] и около 3 тысяч в других странах мира[7]; создатель фонографа; усовершенствовал телеграф, телефон, киноаппаратуру, разработал один из первых коммерчески успешных вариантов электрической лампы накаливания[8], которая была доработкой других вариантов. Именно он предложил использовать в начале телефонного разговора слово «алло».

Пошаговое объяснение:

если не сложно сможешь подписаться на меня ❤️

и поставить лучший ответ ?

4,5(45 оценок)
Ответ:

Пошаговое объяснение:

задача 7

Вертикальные углы равны. отсюда следует что угол 1 равен углу 2.

пусть а||б тогда,

угол 2 и угол 3 внутренние накрест лежащие. Внетренние накрест лежащие углы равны. отсюда следует, что угол 2= углу 3.

Значит угол 1= углу 3

Пусть а||б, значит угол 1 = углу 3 ( как соответственные углы). Угол 1 и 4 смежные это значит что угол 1+4=180°. Если угол 1= углу 3 , а угол 1+ угол 4 =180°. Отсюда следует, что

угол 3+ угол 4= 180°, что и требовалось доказать.

задача 8

Проведём с точки С прямую параллельную прямой АВ

угол 1 = углу ВАС - как вертикальные

угол 2=углу АДС.

углы ВАС и АДС внутренние односторонние при параллельных прямых и секущей С. А сумма внутренних односторонних равна 180°. значит угол ВАС+ угол АДС= 180°, что и требовалось доказать

4,4(83 оценок)
Это интересно:
Новые ответы от MOGZ: Математика
logo
Вход Регистрация
Что ты хочешь узнать?
Спроси Mozg
Открыть лучший ответ