Вход
Регистрация
Спроси Mozg AI
М
Молодежь
К
Компьютеры-и-электроника
Д
Дом-и-сад
С
Стиль-и-уход-за-собой
П
Праздники-и-традиции
Т
Транспорт
П
Путешествия
С
Семейная-жизнь
Ф
Философия-и-религия
Б
Без категории
М
Мир-работы
Х
Хобби-и-рукоделие
И
Искусство-и-развлечения
В
Взаимоотношения
З
Здоровье
К
Кулинария-и-гостеприимство
Ф
Финансы-и-бизнес
П
Питомцы-и-животные
О
Образование
О
Образование-и-коммуникации
.....больше.....
..меньше..
timkaserka
29.06.2022 04:31 •
Математика
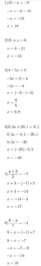
При каких значениях переменной х обращается в верное числовое равенство уравнение: 10-х=-8
21+х=6
4-5х=0
0,5х+20,1=0,1
(х+3)/2=-7
(9-х)/7=-1
плз
👇
Увидеть ответ
Ответ:
мадина3031
29.06.2022
ответ: Вот)
Пошаговое объяснение: Я просто хочу сказать, что ответ верный)
4,4
(43 оценок)
Открыть все ответы
Ответ:
bellalove200
29.06.2022
> -11,2 -1/3 0 1/3 11,2 наименьшее целое значение: - 11 наибольшее целое значение : 11 -11 + 11 = 0
4,4
(20 оценок)
Ответ:
LunyaShag
29.06.2022
> -11,2 -1/3 0 1/3 11,2 наименьшее целое значение: - 11 наибольшее целое значение : 11 -11 + 11 = 0
4,4
(47 оценок)
Это интересно:
К
Кулинария-и-гостеприимство
02.01.2021
Как устроить первоклассную вечеринку...
Д
Дом-и-сад
04.01.2022
Солнечная энергия: идеальное решение для подогрева бассейна...
К
Компьютеры-и-электроника
30.11.2021
Apple Macintosh или другие ПК: как определиться с выбором...
Х
Хобби-и-рукоделие
06.03.2020
Как правильно драпировать платье: советы стилистов и примеры вариантов...
И
Искусство-и-развлечения
21.05.2021
Как играть в бильярд как профи?...
И
Искусство-и-развлечения
11.03.2023
Как стильно одеться в стиле Гарри Поттера...
З
Здоровье
17.05.2023
Болезнь, которую нам нужно победить: Как справиться с защемлением нерва в бедре...
К
Кулинария-и-гостеприимство
12.06.2021
Как приготовить чесночную пасту: простой и быстрый рецепт с пошаговыми инструкциями...
Д
Дом-и-сад
27.10.2021
Как выпрямить древесину: эффективные методы и советы...
К
Компьютеры-и-электроника
26.02.2021
Как наслаждаться игрой в Fruit Ninja в режиме Arcade Mode...
Новые ответы от MOGZ: Математика
тупой1712
30.09.2020
Мистер фокс купил 60 банок различного варенья. он все попробовал и обнаружил, что надписи на банках перепутаны, хотя набор надписей соответствует набору купленных вареньев. дома...
Доминатр
21.08.2020
Из двух пунктов расстояние между которыми 210 км вышли одновременно навстречу друг другу два электропоезда скорость одного из них на 5 км/ч больше скорости другого найдите скорость...
bigsoldier
21.08.2020
За 1/6(дробь) времени ,необходимого на дорогу в школу ,надо вспомнить заданное на дом стихотворение ,а в оставшееся время повторять его . сколько раз можно повторить стихотворение...
artems242
21.08.2020
Наити неизвестны член пропорции x/9=30/54 3: 8=x: 20...
настя7566
21.08.2020
Ведущий телеигры спросил игрока: - верите ли вы ,что я не курю 20 дней? - верю,-ответил игрок. - а вто и неверно,я не курю уже 24 дня! правильно ли ведущий оценил ответ игрока?...
макс3106
21.08.2020
Вспортивных соревнованиях приняло участие 40 девочек,а мальчиков вчетверо больше.зрителей было вдвое меньше,чем участников соревнований.из них половина -это родители спотсменов....
littleeeprincess
21.08.2020
Школьники 6 и 7 классов пропололи 441 грядку работая вместе .учащиеся 7 классапропаловали 28 грядок в час а другие 6 класса пропололи 21 грядку в час.сколько часов занимались...
sashaStreet1
21.08.2020
Вподвалах кощея бессмертного хранится 52 сундука: 12 сундуков с золотом, с серебром в 2 раза меньше, чем с золотом, а остальные сундуки с драгоценными каменьями. сколько сундуков...
mygalmaksim
21.08.2020
Впервом мотке на а метров провода больше, чем во втором. сколько рублей стоит 1 м провода, если за первый моток заплатили на 180 рублей больше, чем за второй....
messaivi
21.08.2020
Масса бегемота 31ц 25 кг,а масса его детеныша на 19ц 32кг меньше.выразите общую массу бегемота и его детеныша в килограммах....
MOGZ ответил
Розбір прислівника як частини мови. Каву по-віденськи п ють з молоком....
Английский язык - грамматика 10 класс, одно задание...
Решите уравнение |-|2-x²||=7....
Обчислити значення виразу 2(2а+3b)÷13-2a ÷-це риска дробу...
пользуясь данными таблицами предположите как меняется реакционно галогенов...
Добування мінеральних вод — 1. На схемі Миргородського родовища мінеральних...
|х+7.2|+5.8=15.4 это СОЧ только без обмана...
Тематична контрольна робота з теми Матеріальний і духовний світ європейського...
Тело совершает колебательные движения по закону х= 0,012сos10тt. () Рассчитайте...
459 Составьте синквейн к слову фантазёры. ...
Полный доступ к MOGZ
Живи умнее Безлимитный доступ к MOGZ
Оформи подписку
О НАС
О нас
Блог
Условия пользования
Авторское право
Политика конфиденциальности
Предпочтения cookie-файлов
ПОМОЩЬ
Зарегистрируйся
Центр помощи
Центр безопасности
App
Вход
Регистрация
Что ты хочешь узнать?
Спроси Mozg
Открыть лучший ответ
×
ответ: Вот)
Пошаговое объяснение: Я просто хочу сказать, что ответ верный)