М
Молодежь
К
Компьютеры-и-электроника
Д
Дом-и-сад
С
Стиль-и-уход-за-собой
П
Праздники-и-традиции
Т
Транспорт
П
Путешествия
С
Семейная-жизнь
Ф
Философия-и-религия
Б
Без категории
М
Мир-работы
Х
Хобби-и-рукоделие
И
Искусство-и-развлечения
В
Взаимоотношения
З
Здоровье
К
Кулинария-и-гостеприимство
Ф
Финансы-и-бизнес
П
Питомцы-и-животные
О
Образование
О
Образование-и-коммуникации
lenyskadi
lenyskadi
10.03.2020 10:53 •  Математика

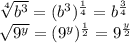
Записать в виде степени с рациональным показателем ∜(b^3 )
√(9&y)

👇
Ответ:
yaam13
yaam13
10.03.2020

1) b^3/4

2)не знаю

4,8(85 оценок)
Ответ:
14andrew
14andrew
10.03.2020

Пошаговое объяснение:

\sqrt[4]{b^3} =(b^3)^{\frac{1}{4} } =b^{\frac{3}{4} } \\\sqrt{9^y}=(9^y)^{\frac{1}{2} } =9^{\frac{y}{2} }

4,7(52 оценок)
Открыть все ответы
Ответ:
knopiknopa
knopiknopa
10.03.2020

1) x-4  1/2= -2  1/4

x= -2 1/4+4 1/2              =-9/4+9/2=(-9+19)/4=9/4

x=9/4

2) -x-6  4/5=3  1/2

-x=3 1/2+6 4/5                      = 7/2+34/5=(35+68)/10=103/10=10  3/10

-x=10 3/10

x=  -10  3/10

3) -x-11 1/2= -4 7/8

-x= -4 7/8+11 1/2                                = -39/8+23/2=(-39+92)/8=53/8=6  5/8

-x=6  5/8

x=  -6  5/8

4,6(45 оценок)
Ответ:
Добавили к вопросу диаграмму о которой идёт речь - в приложении.
ДУМАЕМ
Где июль, а где февраль? Где тепло, а где холодно?
В учебнике рисовать нельзя . Смотрим только на рисунок и думаем.
По горизонтальной оси отложены номера месяцев за год.
1 - январь, 2 - февраль, 7 - июль.
По вертикальной оси - температура - выше горизонтальной оси - положительная, ниже - отрицательная.
РЕШЕНИЕ
Нашли на диаграмме -
июль (7-ой столбик) и температуру  =  +20 градусов. T(7) = +20°C
февраль (2-ой) и температуру  - Т(2) = - 8°С.
Вычисляем разность и получаем
20 - (-8) = на 28 градусов февраль холоднее июля - ОТВЕТ
 А вот разность температур между июнем и январем вычислить сложнее.
1/4 деления по шкале температур равна 2°/4 = 0,5°С.
Находим температуру июня 
Т(6) = 20 - 0,5 = 19,5°С
Находим температуру января
Т(1) = -8 + 0,5 = - 7,5°С
Находим разность температур
Т(6) - (я) = 19,5 - (-7,5) = 27°С - разность температур

На диаграмме показана среднемесячная температура воздуха в санкт-петербурге за каждый месяц 1999 год
4,5(33 оценок)
Это интересно:
Новые ответы от MOGZ: Математика
logo
Вход Регистрация
Что ты хочешь узнать?
Спроси Mozg
Открыть лучший ответ