М
Молодежь
К
Компьютеры-и-электроника
Д
Дом-и-сад
С
Стиль-и-уход-за-собой
П
Праздники-и-традиции
Т
Транспорт
П
Путешествия
С
Семейная-жизнь
Ф
Философия-и-религия
Б
Без категории
М
Мир-работы
Х
Хобби-и-рукоделие
И
Искусство-и-развлечения
В
Взаимоотношения
З
Здоровье
К
Кулинария-и-гостеприимство
Ф
Финансы-и-бизнес
П
Питомцы-и-животные
О
Образование
О
Образование-и-коммуникации
Пётр75
Пётр75
07.09.2021 07:50 •  Математика

Найти решение дифференциальных уравнение​


Найти решение дифференциальных уравнение​

👇
Ответ:
lianochkaya14
lianochkaya14
07.09.2021

Пошаговое объяснение:

оба уравнения - дифференциальные уравнения с разделяющимися переменными

1.

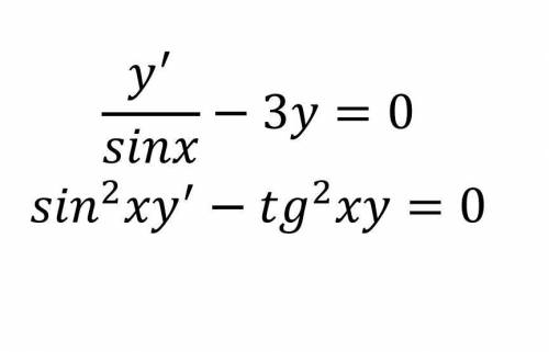
\frac{y'}{sinx} -3y=0

умножаем обе части на sinx и делим на 3у, получим

\frac{y'}{y} =3sinx;

интегрируем обе части и получаем

\int {\frac{1}{y}} \, dy = \int {3sinx} \, dx

lny = -3cosx+C;   ⇒   y= e^{(C-3cosx)}

2.

y'*sin^2x -y*tg^2x=0

делим на (y*sin²x)

\frac{dy}{y} =\frac{1}{cos^2x} ;   ⇒  \frac{dy}{y} = sec^2x;    ⇒  lny = tgx+C;   ⇒  y = e^{(tgx+C)}

4,8(80 оценок)
Открыть все ответы
Ответ:
Lizaveta984
Lizaveta984
07.09.2021
Богатсво души человека. Это значит такие качества, которые присущи внутреннему миру человека, которые отражают его личность во внешних проявлениях в виде поступков. Как правило, такие поступки проявляются в сложных ситуациях, требующих пожертвовать своими ресурсами в пользу общего дела или в пользу окружающих людей. 
Какие качества сюда можно отнести? 
Доброта - качество сильных людей.
Искренность  - проявление чистоты души.
Милосердие - снисхождение  и прощение. Важно, что не все заслуживают снисхождения и прощения.
Отзывчивость - стремление окружающим.
Добросовестность  - ответственность в деле.
Преданность .
Забота,Верность,Справедливость,,Щедрость..
Сила духа.
Уверенность в себе.
4,5(9 оценок)
Ответ:
pomorcevakata98
pomorcevakata98
07.09.2021
1*4=4 подков для 1 лошади                                                                                         9-1=8 лошадей (по 2 подковы)                                                                                  8*2=16 подков для 8 лошадей                                                                                   16+4=20 подков всего                                                                                                ответ: На 9 лошадей ушло 20 подков                              
4,8(84 оценок)
Это интересно:
Новые ответы от MOGZ: Математика
logo
Вход Регистрация
Что ты хочешь узнать?
Спроси Mozg
Открыть лучший ответ