
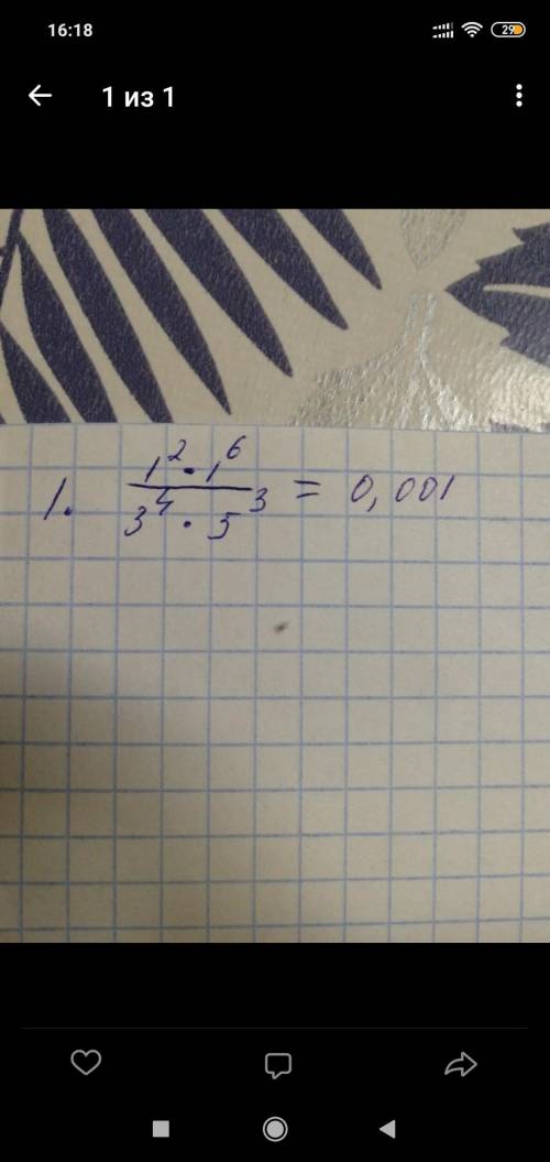
≈0,00009≈0,0001
ответ:3 или 8
Пошаговое объяснение:
Ясно, что если m – нечётное число, то при любом натуральном n, выражение 5 * m + 4 * n также принимает нечётное значение.
При выполнении условий задачи переменная m не может принимать нечетные значения.
Пусть m = 2. Тогда из 5 * 2 + 4 * n = 42 получим 4 * n = 32, откуда n = 8.
Если m = 4, то получим 4 * n = 22, что противоречит натуральности n.
Пусть теперь m = 6. Тогда n = 3.
Для случая, когда m = 8 результат будет таким же, как и в п. 4.
Все чётные m >8 приведут к противоречию.
1) 1^2·1^6=1
2) 3^4=81 и 5^3=125. Значит в знаменателе будет 81·125=10125
3) 1/10125=0,0000987≈0,0001
Пошаговое объяснение: