
ответ:угол ВАС=180 - (90 +45)=45,т.е. треуг. АВС равнобедренный, значит высота является биссектрисой и медианой,значит угол ВСО=углуАСО = 45,т.е. треугольник ВСО и треуг. АСО равнобедренные, значит СО=ОВ=АО=8, значит АВ=16см
2)т.к. треугольник равнобедренный, то угол В=углу D. А т.к. 1/2АD=CD, то угол САD=30, а значит угол D=B=60
3)т.к. 1/2 С1В=С1С, то угол ВСС1=30,значит угол АСВ=60, т.е. угол А=180-(90+60)=30, значит угол САD=180-30=150
4)т.к. угол DCF = 30, то 1/2 CD=FD = 2, а т.к. это равнобедренный треугольник, то CF - медиана, значит АD=4, значит АСD-равносторон., значит все углы равны по 60 градусов, а т.к. угол BFA=90, то FAB=180-(90-60)=30, значит 1/2 АF=AВ,значит AB=1см, а значит BF^2=AF^2-FD^2 =4-1=3, значит ВF=корень из 3
5) т.к.угол BAC=30, то 1/2 ВА=ВС,т.е. АВ=8, значит АМ=4, а значит 1/2АМ=MD,значит MD=2
Пошаговое объяснение:
8 бутербродов
Пошаговое объяснение:
Если известно, что за каждую минуту съедают один бутерброт, то за 5 минут, должны съесть все по 5 бутербродов, следовательно должно остаться : 15-5= 10.
Дядя Фёдор съел 8 бутербродов, значит его сосед четвёртый человек, который ест с чужой тарелки, у Дяди Фёдора он съел 8-5= 3 бутерброда. Значит у другого соседа четвёртый должен съесть: 5-3= 2 бутерброда. Если предположить, что этим соседом является Кот Матроскин, то у кота на тарелки останется: 15-5-2= 8 бутербродов. Это будет минимальное число.
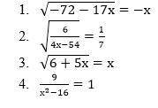
Пошаговое объяснение:
Всё решение и ответы приведены на фотографиях.