М
Молодежь
К
Компьютеры-и-электроника
Д
Дом-и-сад
С
Стиль-и-уход-за-собой
П
Праздники-и-традиции
Т
Транспорт
П
Путешествия
С
Семейная-жизнь
Ф
Философия-и-религия
Б
Без категории
М
Мир-работы
Х
Хобби-и-рукоделие
И
Искусство-и-развлечения
В
Взаимоотношения
З
Здоровье
К
Кулинария-и-гостеприимство
Ф
Финансы-и-бизнес
П
Питомцы-и-животные
О
Образование
О
Образование-и-коммуникации
123gordeev
123gordeev
24.12.2021 06:36 •  Математика

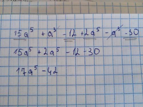
Приведите многочлены в стандартный вид и назовите их степень 15a⁵+a³-12+2a⁵-a³-30

👇
Ответ:
livekristinka
livekristinka
24.12.2021

17а⁵- 42 - степень пятая

Пошаговое объяснение:

15a⁵+a³-12+2a⁵-a³-30 = (15a⁵+2a⁵)+(a³-a³)+(-12-30) = 17а⁵-42 - степень пятая

4,4(88 оценок)
Ответ:
flox1998
flox1998
24.12.2021

ответ:степень многочлена 5

Пошаговое объяснение:


Приведите многочлены в стандартный вид и назовите их степень 15a⁵+a³-12+2a⁵-a³-30
4,7(97 оценок)
Открыть все ответы
Ответ:
Дмитртй11
Дмитртй11
24.12.2021

24

Пошаговое объяснение:

Берём 24 листа и каждые два скрепляем между собой, получается 12 документов по 2 листа, 12 скреплений и 1 лист;

Затем берём эти 12 документов и каждые два тоже скрепляем между собой, получаем 6 документов по 4 листа, 12 + 6 скреплений  и 1 лист;

Следом скрепляем 6 документов по два, получаем 3 документа по 8 листов, 18+ 3 скреплений и 1 лист;

Затем эти 3 документа и 1 лист скрепляем между собой, получаем 21 + 2 скреплений и 2 документа, скрепив которые получаем 24 скрепления.

4,6(55 оценок)
Ответ:
Lirki
Lirki
24.12.2021

Сначала точно так же, как в 3.44 доказываем, что a^2+b^2 делится

на 7 только когда a делится на 7 и b делится на 7.

Далее вспоминаем, что число 7 простое.

Разложим на множители, например число a^2

a^2=B*B*C*C*D*D*E*E*...

(у квадрата каждый множитель повторяется два раза). Так как наш

квадрат делится на 7, то какой-то множитель (пусть например D)

равен семи.

a^2=B*B*C*C*7*7*E*E*...=49*B*B*C*C*E*E*...

Откуда видно что a^2 делится и на 49.

Точно так же доказываем, что и b^2 делится на 49.

Следовательно и их сумма делится на 49

Пошаговое объяснение:

4,6(46 оценок)
Это интересно:
Новые ответы от MOGZ: Математика
logo
Вход Регистрация
Что ты хочешь узнать?
Спроси Mozg
Открыть лучший ответ