М
Молодежь
К
Компьютеры-и-электроника
Д
Дом-и-сад
С
Стиль-и-уход-за-собой
П
Праздники-и-традиции
Т
Транспорт
П
Путешествия
С
Семейная-жизнь
Ф
Философия-и-религия
Б
Без категории
М
Мир-работы
Х
Хобби-и-рукоделие
И
Искусство-и-развлечения
В
Взаимоотношения
З
Здоровье
К
Кулинария-и-гостеприимство
Ф
Финансы-и-бизнес
П
Питомцы-и-животные
О
Образование
О
Образование-и-коммуникации
ffoxyyyy1
ffoxyyyy1
12.06.2020 22:33 •  Математика

Выполните почленное сложение верных числовых равенств * 6,8=6,8 -2=-2 0,4=0,4 2,3=2,3 -5=-5 -10=-10
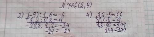
(-9):1,5=-6 и 4=3,2:0,8
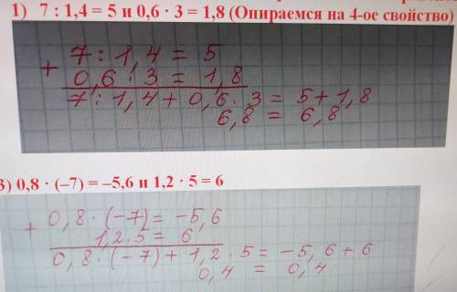
0,8• (-7)=-5,6 и 1,2•5=6
7:1,4=5 и 0,6•3=1,8

👇
Ответ:
Вандализм
Вандализм
12.06.2020

Пошаговое объяснение:


Выполните почленное сложение верных числовых равенств * 6,8=6,8 -2=-2 0,4=0,4 2,3=2,3 -5=-5 -10=-10
Выполните почленное сложение верных числовых равенств * 6,8=6,8 -2=-2 0,4=0,4 2,3=2,3 -5=-5 -10=-10
4,6(95 оценок)
Открыть все ответы
Ответ:
nocitronum
nocitronum
12.06.2020
Допустим, что в первом взвешивании на чашки весов положили по 4 монеты и наблюдается равновесие. Тогда фальшивая монета находится среди остальных 5 монет, причем может быть как легче, так и тяжелее настоящей монеты. Всего, таким образом, имеется 2*5= 10 вариантов. Но оставиеся 2 взвешивания могут иметь лишь 3(в квадрате) = 9 различных исходов. Если же в первом взвешивании на чашки весов положили по 5 монет, то в случае неравновесия ( Л не равно П) снова остается 10 вариантов. Действительно, если фальшивая монета легче, то она находится среди 5 монет на левой чаше, если тяжелее - то среди 5 монет на правой чаше. 
4,4(21 оценок)
Ответ:
Dvoeschnick
Dvoeschnick
12.06.2020
Смотри на мой рисунок. В общем, я из верхнего угла опустил на нижнее основание прямую (буквы потом сам(а) обозначишь). Получился прямоугольный треугольник. Нам свезло: один угол в 90°, второй - 60°, значит, третий 30°. Есть правило: в прямоугольном треугольнике угол, лежащий напротив угла в 30° равен половине гипотенузы. В нашем случае гипотенуза - это боковая сторона. 5 мы делим пополам. Но так, как чтобы узнать верхнее основание, нужно вычесть из нижнего суму катетов обоих треугольников, мы 2.5 вновь умножаем вдвое и имеем снова 5. А теперь от 42-ух с чистой совестью отнимаем пятерку. Удачи!
Вравнобедренной трапеции большее основание равно 42,бокавая сторона равна 5,угол между ними 60°.найд
4,4(18 оценок)
Это интересно:
logo
Вход Регистрация
Что ты хочешь узнать?
Спроси Mozg
Открыть лучший ответ